2 Degenerate Horizons and Near-Horizon Geometry
2.1 Coordinate systems and near-horizon limit
In this section we will introduce a general notion of a near-horizon geometry.
This requires us to first introduce some preliminary constructions. Let
be a
smooth9
codimension-1 null hypersurface in a
dimensional spacetime
. In a neighbourhood of any such
hypersurface there exists an adapted coordinate chart called Gaussian null coordinates that we now
recall [179
, 86].
Let
be a vector field normal to
whose integral curves are future-directed null geodesic
generators of
. In general these will be non-affinely parameterised so on
we have
for
some function
. Now let
denote a smooth
-dimensional spacelike submanifold of
,
such that each integral curve of
crosses
exactly once: we term
a cross section of
and
assume such submanifolds exist. On
choose arbitrary local coordinates
, for
,
containing some point
. Starting from
, consider the point in
a parameter value
along the integral curve of
. Now assign coordinates
to such a point, i.e., we extend the
functions
into
by keeping them constant along such a curve. This defines a set of coordinates
in a tubular neighbourhood of the integral curves of
through
, such that
. Since
is normal to
we have
and
on
.
We now extend these coordinates into a neighbourhood of
in
as follows. For any point
contained in the above coordinates
, let
be the unique past-directed null vector
satisfying
and
. Now starting at
, consider the point in
an affine
parameter value
along the null geodesic with tangent vector
. Define the coordinates of such a point
in
by
, i.e., the functions
are extended into
by requiring them to be constant
along such null geodesics. This provides coordinates
defined in a neighbourhood of
in
,
as required.
We extend the definitions of
and
into
by
and
. By construction
the integral curves of
are null geodesics and hence
everywhere in the neighbourhood
of
in
in question. Furthermore, using the fact that
and
commute (they are coordinate
vector fields), we have
for all
. A similar argument shows
for all
.
These considerations show that, in a neighbourhood of
in
, the spacetime metric
written in
Gaussian null coordinates
is of the form
is the hypersurface
, the metric components
are smooth functions of all the
coordinates, and
is an invertible
matrix. This coordinate chart is unique up to
choice of cross section
and choice of coordinates
on
. Upon a change of coordinates on
the quantities
transform as a function, 1-form and non-degenerate metric, respectively. Hence
they may be thought of as components of a globally-defined function, 1-form and Riemannian metric on
.
The coordinates developed above are valid in the neighbourhood of any smooth null hypersurface
.
In this work we will in fact be concerned with smooth Killing horizons. These are null hypersurfaces that
possess a normal that is a Killing field
in
. Hence we may set
in the above construction.
Since
we deduce that in the neighbourhood of a Killing horizon
, the metric can be
written as Eq. (5
) where the functions
are all independent of the coordinate
. Using the
Killing property one can rewrite
as
on
, where
is now the usual
surface gravity of a Killing horizon.
We may now introduce the main objects we will study in this work: degenerate Killing horizons. These
are defined as Killing horizons
such that the normal Killing field
is tangent to affinely
parameterised null geodesics on
, i.e.,
. Therefore,
, which implies that in
Gaussian null coordinates
. It follows that
for some smooth function
.
Therefore, in the neighbourhood of any smooth degenerate Killing horizon the metric in Gaussian null
coordinates reads
We are now ready to define the near-horizon geometry of a
-dimensional spacetime
containing such a degenerate horizon. Given any
, consider the diffeomorphism defined by
and
. The metric in Gaussian null coordinates transforms
where
is given by Eq. (6
)
with the replacements
,
and
. The
near-horizon limit is then defined as the
limit of
. It is clear this limit always exists since all
metric functions are smooth at
. The resulting metric is called the near-horizon geometry and is
given by
and
. Notice that the
dependence of the
metric is completely fixed. In fact the near-horizon geometry is completely specified by the following
geometric data on the
-dimensional cross section
: a smooth function
, 1-form
and
Riemannian metric
. We will often refer to the triple of data
on
as the near-horizon
data.
Intuitively, the near-horizon limit is a scaling limit that focuses on the spacetime near the horizon
.
We emphasise that the degenerate assumption
is crucial for defining this limit
and such a general notion of a near-horizon limit does not exist for a non-degenerate Killing
horizon.
2.2 Curvature of near-horizon geometry
As we will see, geometric equations (such as Einstein’s equations) for a near-horizon geometry can be
equivalently written as geometric equations defined purely on a
-dimensional cross section
manifold
of the horizon. In this section we will write down general formulae relating the curvature of a
near-horizon geometry to the curvature of the horizon
. For convenience we will denote the dimension of
by
.
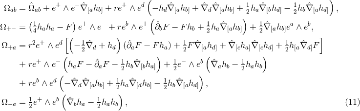
It is convenient to introduce a null-orthonormal frame for the near-horizon metric (7
), denoted by
, where
,
and
, where
are vielbeins for the horizon metric
.10
The dual basis vectors are
where
denote the dual vectors to
. The connection 1-forms satisfy
and are
given by
where
and
are the connection 1-forms and Levi-Civita connection of the metric
on
respectively. The curvature two-forms defined by
give the
Riemann tensor in this basis using
. The curvature two forms are:
where
is the curvature of
on
. The non-vanishing components of the Ricci tensor are thus
given by:
where
is the Ricci tensor of the metric
on
. The spacetime contracted Bianchi identity
implies the following identities on
:
which may also be verified directly from the above expressions.
It is worth noting that the following components of the Weyl tensor automatically vanish:
and
. This means that
is a multiple Weyl aligned null direction
and hence any near-horizon geometry is at least algebraically special of type II within
the classification of [47]. In fact, it can be checked that the null geodesic vector field
has
vanishing expansion, shear and twist and therefore any near-horizon geometry is a Kundt
spacetime.11
Indeed, by inspection of Eq. (7
) it is clear that near-horizon geometries are a subclass of the degenerate Kundt
spacetimes,12
which are all algebraically special of at least type II [184].
Henceforth, we will drop the “hats” on all horizon quantities, so
and
refer to the Ricci
tensor and Levi-Civita connection of
on
.
2.3 Einstein equations and energy conditions
We will consider spacetimes that are solutions to Einstein’s equations:
where
is the energy-momentum and
is the cosmological constant of our spacetime. We will be
interested in a variety of possible energy momentum tensors and thus in this section we will keep the
discussion general.
An important fact is that if a spacetime containing a degenerate horizon satisfies Einstein’s equations
then so does its near-horizon geometry. This is easy to see as follows. If the metric
in Eq. (6
) satisfies
Einstein’s equations, then so will the 1-parameter family of diffeomorphic metrics
for any
.
Hence the limiting metric
, which by definition is the near-horizon geometry, must also satisfy the
Einstein equations.
The near-horizon limit of the energy momentum tensor thus must also exist and takes the form
where
are functions on
and
is a 1-form on
. Working in the vielbein frame
(8
), it is then straightforward to verify that the
and
components of the Einstein
equations for the near-horizon geometry give the following equations on the cross section
:
where we have defined
It may be shown that the rest of the Einstein equations are automatically satisfied as a consequence of
Eqs. (17
), (18
) and the matter field equations, as follows.
The matter field equations must imply the spacetime conservation equation
. This is
equivalent to the following equations on
:
in terms of
. The
and
components of the Einstein equations are
and
respectively, where
and
are defined in Eq. (12
). The first equation in (21
) and the identity (13
) imply that the
equation is satisfied as a consequence of the
equation. Finally, substituting Eqs. (17
) and
(18
) into the identity (14
), and using the second equation in (21
), implies the
equation.
Alternatively, a tedious calculation shows that the
equation follows from Eqs. (17
) and
(18
) using the contracted Bianchi identity for Eq. (17
), together with the second equation in
(21
).
Although the energy momentum tensor must have a near-horizon limit, it is not obvious that the matter
fields themselves must. Thus, consider the full spacetime before taking the near-horizon limit. Recall that
for any Killing horizon
and therefore
. This imposes a constraint on
the matter fields. We will illustrate this for Einstein–Maxwell theory whose energy-momentum tensor is
is the Maxwell 2-form, which must satisfy the Bianchi identity
. It can be checked that
in Gaussian null coordinates
and hence we deduce that
.
Thus, smoothness requires
, which implies the near-horizon limit of
in fact exists.
Furthermore, imposing the Bianchi identity to the near-horizon limit of the Maxwell field relates
and
, allowing one to write
where
is a function on
and
is a closed 2-form on
. The 2-form
is the Maxwell field
induced on
and locally can be written as
for some 1-form potential
on
. It can be
checked that for the near-horizon limit
We will present the Maxwell equations in a variety of dimensions in Section 6.
It is worth remarking that the above naturally generalises to
-form electrodynamics, with
,
for which the energy momentum tensor is
is a
-form field strength satisfying the Bianchi identity
. It is then easily checked
that
implies
and hence
. Thus,
smoothness requires
, which implies that the near-horizon limit of the
-form
exists. The Bianchi identity then implies that the most general form for the near-horizon limit is
where
is a
-form on
and
is a closed
-form on
.
The Einstein equations for a near-horizon geometry can also be interpreted as geometrical equations
arising from the restriction of the Einstein equations for the full spacetime to a degenerate horizon, without
taking the near-horizon limit, as follows. The near-horizon limit can be thought of as the
limit of
the “boost” transformation
. This implies that restricting the boost-invariant
components of the Einstein equations for the full spacetime to a degenerate horizon is equivalent to the
boost invariant components of the Einstein equations for the near-horizon geometry. The boost-invariant
components are
and
and hence we see that Eqs. (17
) and (18
) are also valid for the full
spacetime quantities restricted to the horizon. We deduce that the restriction of these components of the
Einstein equations depends only on data intrinsic to
: this special feature only arises for degenerate
horizons.13
It is worth noting that the horizon equations (17
) and (18
) remain valid in the more general context of
extremal isolated horizons [163
, 209, 28] and Kundt metrics [144
].
The positivity of
and
can be related to standard energy conditions. For a near-horizon
geometry
. Since
is timelike on the horizon, the
strong energy condition implies
. Hence, noting that
we
deduce that the strong energy condition implies
. One can show
. Therefore, the dominant energy condition implies
Since
, if
the dominant energy condition implies
: hence, if
the
dominant energy condition implies both Eqs. (28
) and (29
). Observe that Einstein–Maxwell theory with
satisfies both of these conditions.
In this review, we describe the current understanding of the space of solutions to the basic horizon
equation (17
), together with the appropriate horizon matter field equations, in a variety of dimensions and
theories.
2.4 Physical charges
So far we have considered near-horizon geometries independently of any extremal–black-hole solutions. In
this section we will assume that the near-horizon geometry arises from a near-horizon limit of an extremal
black hole. This limit discards the asymptotic data of the parent–black-hole solution. As a result, only a
subset of the physical properties of a black hole can be calculated from the near-horizon geometry alone. In
particular, information about the asymptotic stationary Killing vector field is lost and hence one cannot
compute the mass from a Komar integral, nor can one compute the angular velocity of the horizon with
respect to infinity. Below we discuss physical properties that can be computed purely from the near-horizon
geometry [123
, 79
, 154
].
Area. The area of cross sections of the horizon
is defined by
is the volume form associated to the induced Riemannian metric
on
.
For definiteness we now assume the parent black hole is asymptotically flat.
Angular momentum. The conserved angular momentum associated with a rotational symmetry,
generated by a Killing vector
, is given by a Komar integral on a sphere at spacelike infinity
:14
, by applying Stokes’
theorem to a spacelike hypersurface
with boundary
. The field equations can be used to
evaluate the volume integral that is of the form
, where
. In particular, for
vacuum gravity one simply has:
For Einstein–Maxwell theories the integral
can also be written as an integral over
, giving
extra terms that correspond to the contribution of the matter fields to the angular momentum. For
example, consider pure Einstein–Maxwell theory in any dimension so the Maxwell equation is
.
Parameterising the near-horizon Maxwell field by (23
) one can show that, in the gauge
,
so the angular momentum is indeed determined by the near-horizon data.
In five spacetime dimensions it is natural to couple Einstein–Maxwell theory to a Chern–Simons (CS) term. While the Einstein equations are unchanged, the Maxwell equation now becomes
where
is the CS coupling constant. The angular momentum in this case can also be written purely as an
integral over
:
Of particular interest is the theory defined by CS coupling
, since this corresponds to the bosonic
sector of minimal supergravity.
Gauge charges. For Einstein–Maxwell theories there are also electric, and possibly magnetic, charges. For example, in pure Einstein–Maxwell theory in any dimension, the electric charge is written as an integral over spatial infinity:
By applying Stokes’ Theorem to a spacelike hypersurface
as above, and using the Maxwell equation,
one easily finds
For
Einstein–Maxwell–CS theory one instead gets
For
one also has a conserved magnetic charge
. Using the Bianchi identity this
can be written as
For
asymptotically-flat black holes there is no conserved magnetic charge. However, for
black rings
, one can define a quasi-local dipole charge over the
where in the second equality we have expressed it in terms of the horizon Maxwell field.
Note that in general the gauge field
will not be globally defined on
, so care must be taken to
evaluate expressions such as (35
) and (38
), see [123, 155
].







![ω+− = rF e+ + 1haea, ω+a = 1r2(∂ˆaF − F ha)e+ − 1hae − + rˆ∇ [ahb]eb, 1 + 2 2 + 2 ω −a = − 2hae , ωab = ˆωab − r ˆ∇[ahb]e , (10 )](article191x.gif)
![( ) Ω = Ωˆ + e+ ∧ e− ˆ∇ h + re+ ∧ ed − h ˆ∇ h + ˆ∇ ∇ˆ h + 1h ˆ∇ h − 1h ∇ˆ h , ab ab [a b] ( d [a b] d [a b] )2 a [b d] 2 b [a d] (1- ) + − b + ˆ 1 ˆ 1ˆ a b Ω+ − = 4haha − F e ∧ e + re ∧ e ∂bF − F hb + 2ha∇ [ahb] + 2∇ [ahb]e ∧ e , 2 + d [( 1ˆ ) ˆ 1 ˆ ˆ ˆ 1 ˆ ] Ω+a = r e ∧ e − 2∇d + hd (∂aF − F ha) + 2F ∇ [ahd] + ∇[cha]∇ [chd] + 2h [a∇d ]F + − ( 1 ) 1 − b( 1 ) + re ∧ e haF − ∂ˆaF − 2hb∇ˆ[bha ] + 2 e ∧ e ˆ∇ahb − 2hahb ( ) + reb ∧ ed − ∇ˆd ˆ∇ [ahb] + 12ha∇ˆ[dhb] − 12hb∇ˆ[ahd ] , ( ) Ω−a = 12e+ ∧ eb ∇ˆbha − 12hahb , (11 )](article198x.gif)
![R+ − = F − 12haha + 12 ˆ∇aha, ˆ ˆ 1 Rab = Rab[ + ∇ (ahb) − 2hahb, ] R = r2 − 1ˆ∇2F + 3haˆ∇ F + 1F∇ˆah − F h h + ∇ˆ h ˆ∇ h ≡ r2S , ++ [ 2 2 a 2 a ]a a [c a] [c a] ++ R = r ∇ˆ F − Fh − 2h ˆ∇ h + ∇ˆ ˆ∇ h ≡ rS , (12 ) +a a a b [a b] b [a b] +a](article202x.gif)
![S++ = − 12(∇ˆa − 2ha)S+a, (13 ) ˆ b 1 c b S+a = − ∇ [Rba − 2γba(R c + 2R+ − )] + h Rba − haR+ − , (14 )](article207x.gif)


























