9 Gravitational Waves from Compact Binaries
We pointed out that the 3.5PN equations of motion, Eqs. (203) or (219*) – (220), are merely 1PN as regards the radiative aspects of the problem, because the radiation reaction force starts at the 2.5PN order. A solution would be to extend the precision of the equations of motion so as to include the full relative 3PN or 3.5PN precision into the radiation reaction force, but the equations of motion up to the 5.5PN or 6PN order are beyond the present state-of-the-art. The much better alternative solution is to apply the wave-generation formalism described in Part A, and to determine by its means the work done by the radiation reaction force directly as a total energy flux at future null infinity.62 In this approach, we replace the knowledge of the higher-order radiation reaction force by the computation of the total flux
, and we apply the energy balance equation
Therefore, the result (232) that we found for the 3.5PN binary’s center-of-mass energy
constitutes only
“half” of the solution of the problem. The second “half” consists of finding the rate of decrease
,
which by the balance equation is nothing but the total gravitational-wave flux
at the relative 3.5PN
order beyond the Einstein quadrupole formula (4*).
Because the orbit of inspiralling binaries is circular, the energy balance equation is sufficient, and there
is no need to invoke the angular momentum balance equation for computing the evolution of the orbital
period
and eccentricity
, see Eqs. (9) – (13*) in the case of the binary pulsar. Furthermore the time
average over one orbital period as in Eqs. (9) is here irrelevant, and the energy and angular
momentum fluxes are related by
. This all sounds good, but it is important to remind
that we shall use the balance equation (295*) at the very high 3.5PN order, and that at such
order one is missing a complete proof of it (following from first principles in general relativity).
Nevertheless, in addition to its physically obvious character, Eq. (295*) has been verified by
radiation-reaction calculations, in the cases of point-particle binaries [258, 259] and extended
post-Newtonian fluids [43, 47], at the 1PN order and even at 1.5PN, the latter order being especially
important because of the first appearance of wave tails; see Section 5.4. One should also quote here
Refs. [260, 336, 278, 322, 254] for the 3.5PN terms in the binary’s equations of motion, fully consistent
with the balance equations.
Obtaining the energy flux
can be divided into two equally important steps: Computing the source
multipole moments
and
of the compact binary system with due account of a self-field
regularization; and controlling the tails and related non-linear effects occurring in the relation between the
binary’s source moments and the radiative ones
and
observed at future null infinity (cf. the
general formalism of Part A).
9.1 The binary’s multipole moments
The general expressions of the source multipole moments given by Theorem 6, Eqs. (123), are
worked out explicitly for general fluid systems at the 3.5PN order. For this computation one
uses the formula (126*), and we insert the 3.5PN metric coefficients (in harmonic coordinates)
expressed in Eqs. (144) by means of the retarded-type elementary potentials (146) – (148).
Then we specialize each of the (quite numerous) terms to the case of point-particle binaries by
inserting, for the matter stress-energy tensor
, the standard expression made out of Dirac
delta-functions. In Section 11 we shall consider spinning point particle binaries, and in that case the
stress-energy tensor is given by Eq. (378*). The infinite self-field of point-particles is removed
by means of the Hadamard regularization; and, as we discussed in Section 6.4, dimensional
regularization is used to fix the values of a few ambiguity parameters. This computation has been
performed in Ref. [86*] at the 1PN order, and in [64] at the 2PN order; we report below the most
accurate 3PN results obtained in Refs. [81*, 80, 62, 63] for the flux and [11*, 74*, 197*] for the
waveform.
A difficult part of the analysis is to find the closed-form expressions, fully explicit in terms of the particle’s positions and velocities, of many non-linear integrals. Let us give a few examples of the type of technical formulas that are employed in this calculation. Typically we have to compute some integrals like
where
and
. When
and
, this integral is perfectly
well-defined, since the finite part
deals with the IR regularization of the bound at infinity. When
or
, we cure the UV divergencies by means of the Hadamard partie finie defined by
Eq. (162*); so a partie finie prescription
is implicit in Eq. (296*). An example of closed-form formula we
get is
where we pose
and
, the brackets surrounding indices denoting
the STF projection. Another example, in which the
regularization is crucial, is (in the quadrupole
case
)
where the IR scale
is defined in Eq. (42*). Still another example, which necessitates both the
and
a UV partie finie regularization at the point 1, is
where
is the Hadamard-regularization constant introduced in Eq. (162*).
The most important input for the computation of the waveform and flux is the mass quadrupole
moment
, since this moment necessitates the full post-Newtonian precision. Here we give the mass
quadrupole moment complete to order 3.5PN, for non-spinning compact binaries on circular orbits, as
and
are the orbital separation and relative velocity. The
third term with coefficient
is a radiation-reaction term, which will affect the waveform at
orders 2.5PN and 3.5PN; however it does not contribute to the energy flux for circular orbits.
The two conservative coefficients are
and
. All those coefficients are [81*, 74*, 197*]
These expressions are valid in harmonic coordinates via the post-Newtonian parameter
defined in Eq. (225*). As we see, there are two types of logarithms at 3PN order in the quadrupole moment:
One type involves the UV length scale
related by Eq. (221*) to the two gauge constants
and
present in the 3PN equations of motion; the other type contains the IR length scale
coming from the
general formalism of Part A – indeed, recall that there is a
operator in front of the source multipole
moments in Theorem 6. As we know, the UV scale
is specific to the standard harmonic
(SH) coordinate system and is pure gauge (see Section 7.3): It will disappear from our physical
results at the end. On the other hand, we have proved that the multipole expansion outside a
general post-Newtonian source is actually free of
, since the
’s present in the two terms
of Eq. (105*) cancel out. Indeed we have already found in Eqs. (93*) – (94*) that the constant
present in
is compensated by the same constant coming from the non-linear wave
“tails of tails” in the radiative moment
. For a while, the expressions (301) contained
the ambiguity parameters
,
and
, which have now been replaced by their correct
values (173).
Besides the 3.5PN mass quadrupole (300*) – (301), we need also (for the 3PN waveform) the mass
octupole moment
and current quadrupole moment
, both of them at the 2.5PN order; these are
given for circular orbits by [81*, 74*]
The list of required source moments for the 3PN waveform continues with the 2PN mass
-pole and current
-pole (octupole) moments, and so on. Here we give the most updated
moments:63
All the other higher-order moments are required at the Newtonian order, at which they are trivial to
compute with result (
)
Here we introduce the useful notation
, where
and
are
such that
,
and
. More explicit expressions are (
):
where
is the usual binomial coefficient.
9.2 Gravitational wave energy flux
The results (300*) – (304) permit the control of the instantaneous part of the total energy flux, by which we
mean that part of the flux which is generated solely by the source multipole moments, i.e., not counting the
hereditary tail and related integrals. The instantaneous flux
is defined by the replacement into the
general expression of
given by Eq. (68a) of all the radiative moments
and
by the
corresponding
-th time derivatives of the source moments
and
. Up to the 3.5PN order we
have
in which we insert the explicit expressions (300*) – (304) for the moments. The time derivatives of these source moments are computed by means of the circular-orbit equations of motion given by Eq. (226*) together with (228). The net result is
The Newtonian approximation agrees with the prediction of the Einstein quadrupole formula (4*), as reduced for quasi-circular binary orbits by Landau & Lifshitz [285]. At the 3PN order in Eq. (307), there was some Hadamard regularization ambiguity parameters which have been replaced by their values computed with dimensional regularization.
To the instantaneous part of the flux, we must add the contribution of non-linear multipole interactions contained in the relationship between the source and radiative moments. The needed material has already been provided in Sections 3.3. Similar to the decomposition of the radiative quadrupole moment in Eq. (88*), we can split the energy flux into the different terms
where
has just been obtained in Eq. (307);
is made of the quadratic multipolar tail integrals
in Eqs. (90) and (95);
involves the square of the quadrupole tail in Eq. (90) and the quadrupole
tail of tail given in Eq. (91).
We shall see that the tails play a crucial role in the predicted signal of compact binaries. It is quite remarkable that so small an effect as a “tail of tail” should be relevant to the data analysis of the current generation of gravitational wave detectors. By contrast, the non-linear memory effects, given by the integrals inside the 2.5PN and 3.5PN terms in Eq. (92), do not contribute to the gravitational-wave energy flux before the 4PN order in the case of circular-orbit binaries. Indeed the memory integrals are actually “instantaneous” in the flux, and a simple general argument based on dimensional analysis shows that instantaneous terms cannot contribute to the energy flux for circular orbits.64 Therefore the memory effect has rather poor observational consequences for future detections of inspiralling compact binaries.
Let us also recall that following the general formalism of Part A, the mass
which appears
in front of the tail integrals of Sections 3.2 and 3.3 represents the binary’s mass monopole
or ADM mass. In a realistic model where the binary system has been formed as a close
compact binary at a finite instant in the past, this mass is equal to the sum of the rest masses
, plus the total binary’s mass-energy
given for instance by Eq. (229). At
3.5PN order we need 2PN corrections in the tails and therefore 2PN also in the mass
, thus
corresponds to 1PN order in
.
We give the two basic technical formulas needed when carrying out the reduction of the tail and tail-of-tail integrals to circular orbits (see e.g., [230]):
where
is a strictly positive frequency (a multiple of the orbital frequency
), where
and
is the Euler constant.
Notice the important point that the tail (and tail-of-tail) integrals can be evaluated, thanks to these
formulas, for a fixed (i.e., non-decaying) circular orbit. Indeed it can be shown [60, 87*] that the “remote-past”
contribution to the tail integrals is negligible; the errors due to the fact that the orbit has actually evolved
in the past, and spiraled in by emission of gravitational radiation, are of the order of the radiation-reaction scale
,65
and do not affect the signal before the 4PN order. We then find, for the quadratic tails stricto sensu, the
1.5PN, 2.5PN and 3.5PN contributions
For the sum of squared tails and cubic tails of tails at 3PN, we get
By comparing Eqs. (307) and (312) we observe that the constants
cleanly cancel out. Adding
together these contributions we obtain
The gauge constant
has not yet disappeared because the post-Newtonian expansion is still parametrized
by
instead of the frequency-related parameter
defined by Eq. (230*) – just as for
when it was
given by Eq. (229). After substituting the expression
given by Eq. (231), we find that
does
cancel as well. Because the relation
is issued from the equations of motion, the latter cancellation
represents an interesting test of the consistency of the two computations, in harmonic coordinates, of the
3PN multipole moments and the 3PN equations of motion. At long last we obtain our end
result:66
In the test-mass limit
for one of the bodies, we recover exactly the result following from linear
black-hole perturbations obtained by Tagoshi & Sasaki [395] (see also [393, 397]). In particular, the
rational fraction
comes out exactly the same as in black-hole perturbations. On the other hand,
the ambiguity parameters discussed in Section 6.2 were part of the rational fraction
, belonging to
the coefficient of the term at 3PN order proportional to
(hence this coefficient cannot be computed by
linear black-hole perturbations).
The effects due to the spins of the two black holes arise at the 1.5PN order for the spin-orbit (SO) coupling, and at the 2PN order for the spin-spin (SS) coupling, for maximally rotating black holes. Spin effects will be discussed in Section 11. On the other hand, the terms due to the radiating energy flowing into the black-hole horizons and absorbed rather than escaping to infinity, have to be added to the standard post-Newtonian calculation based on point particles as presented here; such terms arise at the 4PN order for Schwarzschild black holes [349*] and at 2.5PN order for Kerr black holes [392*].
9.3 Orbital phase evolution
We shall now deduce the laws of variation with time of the orbital frequency and phase of an inspiralling
compact binary from the energy balance equation (295*). The center-of-mass energy
is given by
Eq. (232) and the total flux
by Eq. (314). For convenience we adopt the dimensionless time
variable67
denotes the instant of coalescence, at which the frequency formally tends to infinity, although
evidently, the post-Newtonian method breaks down well before this point. We transform the balance
equation into an ordinary differential equation for the parameter
, which is immediately integrated with
the result
The orbital phase is defined as the angle
, oriented in the sense of the motion, between the separation of
the two bodies and the direction of the ascending node (called
in Section 9.4) within the plane of the
sky. We have
, which translates, with our notation, into
, from which we
determine68
where
is a constant of integration that can be fixed by the initial conditions when the wave
frequency enters the detector. Finally we want also to dispose of the important expression of the phase in
terms of the frequency
. For this we get
where
is another constant of integration. With the formula (318) the orbital phase is complete up
to the 3.5PN order for non-spinning compact binaries. Note that the contributions of the quadrupole
moments of compact objects which are induced by tidal effects, are expected from Eq. (16*) to come into
play only at the 5PN order.
As a rough estimate of the relative importance of the various post-Newtonian terms, we give in Table 3
their contributions to the accumulated number of gravitational-wave cycles
in the bandwidth of
ground-based detectors. Note that such an estimate is only indicative, because a full treatment would
require the knowledge of the detector’s power spectral density of noise, and a complete simulation of the
parameter estimation using matched filtering techniques [138*, 350, 284]. We define
as
of
ground-based detectors; the terminal frequency is assumed for simplicity to be given by the Schwarzschild
innermost stable circular orbit:
. Here we denote by
the signal
frequency of the dominant harmonics at twice the orbital frequency. As we see in Table 3, with the 3PN or
3.5PN approximations we reach an acceptable accuracy level of a few cycles say, that roughly corresponds
to the demand made by data-analysists in the case of neutron-star binaries [139, 137, 138*, 346, 105*, 106*].
Indeed, the above estimation suggests that the neglected 4PN terms will yield some systematic
errors that are, at most, of the same order of magnitude, i.e., a few cycles, and perhaps much
less.
for compact binaries detectable in the bandwidth of LIGO-VIRGO detectors. The entry
frequency is
and the terminal frequency is
. The main origin of
the approximation (instantaneous vs. tail) is indicated. See also Table 4 in Section 11 below for the
contributions of spin-orbit effects.| PN order | ![]() |
![]() |
![]() |
|
| N | (inst) | 15952.6 | 3558.9 | 598.8 |
| 1PN | (inst) | 439.5 | 212.4 | 59.1 |
| 1.5PN | (leading tail) | –210.3 | –180.9 | –51.2 |
| 2PN | (inst) | 9.9 | 9.8 | 4.0 |
| 2.5PN | (1PN tail) | –11.7 | –20.0 | –7.1 |
| 3PN | (inst + tail-of-tail) | 2.6 | 2.3 | 2.2 |
| 3.5PN | (2PN tail) | –0.9 | –1.8 | –0.8 |
9.4 Polarization waveforms for data analysis
The theoretical templates of the compact binary inspiral follow from insertion of the previous solutions for
the 3.5PN-accurate orbital frequency and phase into the binary’s two polarization waveforms
and
defined with respect to a choice of two polarization vectors
and
orthogonal to
the direction
of the observer; see Eqs. (69).
Our convention for the two polarization vectors is that they form with
a right-handed triad, and
that
and
lie along the major and minor axis, respectively, of the projection onto the plane of the
sky of the circular orbit. This means that
is oriented toward the orbit’s ascending node – namely the
point
at which the orbit intersects the plane of the sky and the bodies are moving toward the observer
located in the direction
. The ascending node is also chosen for the origin of the orbital
phase
. We denote by
the inclination angle between the direction of the detector
as
seen from the binary’s center-of-mass, and the normal to the orbital plane (we always suppose
that the normal is right-handed with respect to the sense of motion, so that
).
We use the shorthands
and
for the cosine and sine of the inclination
angle.
We shall include in
and
all the harmonics, besides the dominant one at twice the orbital
frequency, consistent with the 3PN approximation [82, 11*, 74*]. In Section 9.5 we shall give all
the modes
in a spherical-harmonic decomposition of the waveform, and shall extend
the dominant quadrupole mode
at 3.5PN order [197*]. The post-Newtonian terms are
ordered by means of the frequency-related variable
; to ease the notation we pose
starting at 3PN order; see
Eq. (127*). They depend on the binary’s phase
, explicitly given at 3.5PN order by Eq. (318), through
the very useful auxiliary phase variable
that is “distorted by tails” [87*, 11*] and reads
Here
denotes the binary’s ADM mass and it is very important to include all its relevant
post-Newtonian contributions as given by Eq. (309*). The constant frequency
can be chosen
at will, for instance to be the entry frequency of some detector. For the plus polarization we
have69
For the cross polarizations we obtain
Notice the non-linear memory zero-frequency (DC) term present in the Newtonian plus polarization
; see Refs. [427, 11, 189*] for the computation of this term. Notice also that there is another DC term
in the 2.5PN cross polarization
, first term in Eq. (323f).
The practical implementation of the theoretical templates in the data analysis of detectors follows from
the standard matched filtering technique. The raw output of the detector
consists of the
superposition of the real gravitational wave signal
and of noise
. The noise is assumed to be
a stationary Gaussian random variable, with zero expectation value, and with (supposedly known)
frequency-dependent power spectral density
. The experimenters construct the correlation between
and a filter
, i.e.,
by the square root of its variance, or correlation noise. The expectation value of this ratio
defines the filtered signal-to-noise ratio (SNR). Looking for the useful signal
in the detector’s
output
, the data analysists adopt for the filter
where
and
are the Fourier transforms of
and of the theoretically computed template
. By the matched filtering theorem, the filter (325*) maximizes the SNR if
. The
maximum SNR is then the best achievable with a linear filter. In practice, because of systematic errors in
the theoretical modelling, the template
will not exactly match the real signal
;
however if the template is to constitute a realistic representation of nature the errors will be
small. This is of course the motivation for computing high order post-Newtonian templates, in
order to reduce as much as possible the systematic errors due to the unknown post-Newtonian
remainder.
To conclude, the use of theoretical templates based on the preceding 3PN/3.5PN waveforms, and having their frequency evolution built in via the 3.5PN phase evolution (318) [recall also the “tail-distorted” phase variable (321*)], should yield some accurate detection and measurement of the binary signals, whose inspiral phase takes place in the detector’s bandwidth [105, 106, 159, 156, 3, 18, 111]. Interestingly, it should also permit some new tests of general relativity, because we have the possibility of checking that the observed signals do obey each of the terms of the phasing formula (318) – particularly interesting are those terms associated with non-linear tails – exactly as they are predicted by Einstein’s theory [84, 85, 15, 14]. Indeed, we don’t know of any other physical systems for which it would be possible to perform such tests.
9.5 Spherical harmonic modes for numerical relativity
The spin-weighted spherical harmonic modes of the polarization waveforms have been defined in Eq. (71*).
They can be evaluated either from applying the angular integration formula (72*), or alternatively from
using the relations (73*) – (74) giving the individual modes directly in terms of separate contributions of the
radiative moments
and
. The latter route is actually more interesting [272*] if some of the
radiative moments are known to higher PN order than others. In this case the comparison with
the numerical calculation for these particular modes can be made with higher post-Newtonian
accuracy.
A useful fact to remember is that for non-spinning binaries, the mode
is entirely given by the
mass multipole moment
when
is even, and by the current one
when
is odd.
This is valid in general for non-spinning binaries, regardless of the orbit being quasi-circular or elliptical.
The important point is only that the motion of the two particles must be planar, i.e., takes place in a fixed
plane. This is the case if the particles are non-spinning, but this will also be the case if, more generally, the
spins are aligned or anti-aligned with the orbital angular momentum, since there is no orbital precession
in this case. Thus, for any “planar” binaries, Eq. (73*) splits to (see Ref. [197*] for a proof)
Let us factorize out in all the modes an overall coefficient including the appropriate phase factor
, where we recall that
denotes the tail-distorted phase introduced in Eq. (321*), and such that
the dominant mode with
conventionally starts with one at the Newtonian order. We thus
pose
. We assume
; the modes having
are easily deduced using
. The dominant mode
, which is primarily
important for numerical relativity comparisons, is known at 3.5PN order and reads [74*, 197]
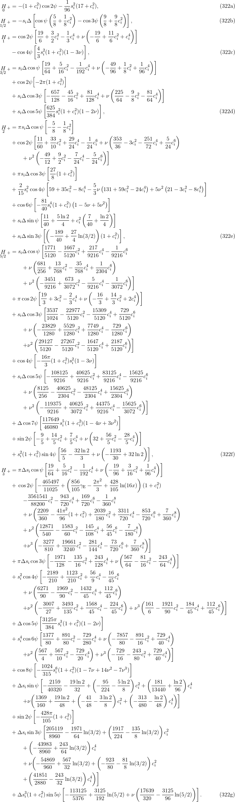
The other modes are known with a precision consistent with 3PN order in the full waveform [74]:
Notice that the modes with
are zero except for the DC (zero-frequency) non-linear memory
contributions. We already know that this effect arises at Newtonian order [see Eq. (322a)], hence the non
zero values of the modes
and
. See Ref. [189] for the DC memory contributions in the higher
modes having
.
With the 3PN approximation all the modes with
can be considered as merely Newtonian. We
give here the general Newtonian leading order expressions of any mode with arbitrary
and non-zero
(see the derivation in [272]):
in which we employ the function
, also given by Eqs. (305).




![(− 2,−1) [16 (r ) 188 ] [ 8 ( r ) 4 ] [2 ( r ) 2] Yij = y⟨1ij⟩ ---ln --12 − ---- + y⟨1i yj2⟩ --ln -12- − ---- + y⟨2ij⟩ --ln -12 − --- ,(298 ) 15 r0 225 15 r0 225 5 r0 25](article2234x.gif)
![(−3,0) [ ( s ) 16] Yij = 2 ln -1 + --- y⟨1ij⟩, (299 ) r0 15](article2237x.gif)









![[ ( )] ν- ν- 2 -1 M = m 1 − 2 γ + 8 (7 − ν)γ + 𝒪 c6 . (309 )](article2301x.gif)






















and
also known at 3.5PN order 




