10 Eccentric Compact Binaries
Inspiralling compact binaries are usually modelled as moving in quasi-circular orbits since gravitational radiation reaction circularizes the orbit towards the late stages of inspiral [340*, 339*], as we discussed in Section 1.2. Nevertheless, there is an increased interest in inspiralling binaries moving in quasi-eccentric orbits. Astrophysical scenarios currently exist which lead to binaries with non-zero eccentricity in the gravitational-wave detector bandwidth, both terrestrial and space-based. For instance, inner binaries of hierarchical triplets undergoing Kozai oscillations [283, 300] could not only merge due to gravitational radiation reaction but a fraction of them should have non negligible eccentricities when they enter the sensitivity band of advanced ground based interferometers [419]. On the other hand the population of stellar mass binaries in globular clusters is expected to have a thermal distribution of eccentricities [32]. In a study of the growth of intermediate black holes [235*] in globular clusters it was found that the binaries have eccentricities between 0.1 and 0.2 in the eLISA bandwidth. Though, supermassive black hole binaries are powerful gravitational wave sources for eLISA, it is not known if they would be in quasi-circular or quasi-eccentric orbits. If a Kozai mechanism is at work, these supermassive black hole binaries could be in highly eccentric orbits and merge within the Hubble time [40]. Sources of the kind discussed above provide the prime motivation for investigating higher post-Newtonian order modelling for quasi-eccentric binaries.
10.1 Doubly periodic structure of the motion of eccentric binaries
In Section 7.3 we have given the equations of motion of non-spinning compact binary systems in the frame of the center-of-mass for general orbits at the 3PN and even 3.5PN order. We shall now investigate (in this section and the next one) the explicit solution to those equations. In particular, let us discuss the general “doubly-periodic” structure of the post-Newtonian solution, closely following Refs. [142, 143*, 149*].
The 3PN equations of motion admit, when neglecting the radiation reaction terms at 2.5PN order, ten
first integrals of the motion corresponding to the conservation of energy, angular momentum,
linear momentum, and center of mass position. When restricted to the frame of the center of
mass, the equations admit four first integrals associated with the energy
and the angular
momentum vector
, given in harmonic coordinates at 3PN order by Eqs. (4.8) – (4.9) of
Ref. [79].
The motion takes place in the plane orthogonal to
. Denoting by
the binary’s orbital
separation in that plane, and by
the relative velocity, we find that
and
are functions
of
,
,
and
. We adopt polar coordinates
in the orbital plane, and express
and the norm
, thanks to
, as some explicit functions of
,
and
. The latter functions can be inverted by means of a straightforward post-Newtonian
iteration to give
and
in terms of
and the constants of motion
and
. Hence,
where
and
denote certain polynomials in
, the degree of which depends on the
post-Newtonian approximation in question; for instance it is seventh degree for both
and
at 3PN
order [312*]. The various coefficients of the powers of
are themselves polynomials in
and
, and
also, of course, depend on the total mass
and symmetric mass ratio
. In the case of bounded
elliptic-like motion, one can prove [143] that the function
admits two real roots, say
and
such that
, which admit some non-zero finite Newtonian limits when
, and represent
respectively the radii of the orbit’s periastron (p) and apastron (a). The other roots are complex and tend
to zero when
.
Let us consider a given binary’s orbital configuration, fully specified by some
values of the integrals of motion
and
corresponding to quasi-elliptic
motion.70
The binary’s orbital period, or time of return to the periastron, is obtained by integrating the radial motion
as
) of the advance of the periastron per
orbital revolution,
which is such that the precession of the periastron per period is given by
. As
tends to one in the limit
(as is easily checked from the usual Newtonian solution),
it is often convenient to pose
, which will then entirely describe the relativistic
precession.
Let us then define the mean anomaly
and the mean motion
by
Here
denotes the instant of passage to the periastron. For a given value of the mean anomaly
,
the orbital separation
is obtained by inversion of the integral equation
which is a periodic function in
with period
. The orbital phase
is then obtained in terms of the mean anomaly
by integrating the angular motion as
where
denotes the value of the phase at the instant
. We may define the origin of the orbital phase
at the ascending node
with respect to some observer. In the particular case of a circular orbit,
, the phase evolves linearly with time,
, where
is the orbital frequency of the
circular orbit given by
In the general case of a non-circular orbit it is convenient to keep that definition
and to
explicitly introduce the linearly growing part of the orbital phase (336*) by writing it in the
form
Here
denotes a certain function of the mean anomaly which is periodic in
with period
,
hence periodic in time with period
. According to Eq. (336*) this function is given in terms of the mean
anomaly
by
is periodic with period
, and the periastron
advance
is periodic with period
. Notice however that, though standard, the term “doubly
periodic” is misleading since the motion in physical space is not periodic in general. The radial
motion
is periodic with period
while the angular motion
is periodic [modulo
] with period
where
. Only when the two periods are commensurable,
i.e., when
where
, is the motion periodic in physical space (with period
).
10.2 Quasi-Keplerian representation of the motion
The quasi-Keplerian (QK) representation of the motion of compact binaries is an elegant formulation of the
solution of the 1PN equations of motion parametrized by the eccentric anomaly
(entering a specific
generalization of Kepler’s equation) and depending on various orbital elements, such as three types of
eccentricities. It was introduced by Damour & Deruelle [149*, 150] to study the problem of binary pulsar
timing data including relativistic corrections at the 1PN order, where the relativistic periastron precession
complicates the simpler Keplerian solution.
In the QK representation the radial motion is given in standard parametric form as
where
is the eccentric anomaly, with
and
denoting two constants representing the semi-major
axis of the orbit and its eccentricity. However, these constants are labelled after the radial coordinate
to
remember that they enter (by definition) into the radial equation; in particular
will differ from other
kinds of eccentricities
and
. The “time” eccentricity
enters the Kepler equation which at the
1PN order takes the usual form
where the mean anomaly is proportional to the time elapsed since the instant
of passage at the
periastron,
where
is the mean motion and
is the orbital period; see
Eqs. (334). The “angular” eccentricity
enters the equation for the angular motion at 1PN order which
is written in the form
where the true anomaly
is defined by71
The constant
is the advance of periastron per orbital revolution defined by Eq. (333*); it may be
written as
where
is the angle of return to the periastron.
Crucial to the formalism are the explicit expressions for the orbital elements
,
,
,
,
and
in terms of the conserved energy
and angular momentum
of the orbit.
For convenience we introduce two dimensionless parameters directly linked to
and
by
where
is the reduced mass with
the total mass (recall that
for
bound orbits) and we have used the intermediate standard notation
. The equations
to follow will then appear as expansions in powers of the small post-Newtonian parameter
,72
with coefficients depending on
and the dimensionless reduced mass ratio
; notice that the parameter
is at Newtonian order,
. We have [149*]
The dependence of such relations on the coordinate system in use will be discussed later. Notice the
interesting point that there is no dependence of the mean motion
and the radial semi-major axis
on the angular momentum
up to the 1PN order; such dependence will start only at 2PN order, see e.g.,
Eq. (347a).
The above QK representation of the compact binary motion at 1PN order has been generalized at the
2PN order in Refs. [170*, 379*, 420*], and at the 3PN order by Memmesheimer, Gopakumar &
Schäfer [312*]. The construction of a generalized QK representation at 3PN order exploits the fact that the
radial equation given by Eq. (331a) is a polynomial in
(of seventh degree at 3PN order). However,
this is true only in coordinate systems avoiding the appearance of terms with the logarithm
; the
presence of logarithms in the standard harmonic (SH) coordinates at the 3PN order will obstruct the
construction of the QK parametrization. Therefore Ref. [312*] obtained it in the ADM coordinate system
and also in the modified harmonic (MH) coordinates, obtained by applying the gauge transformation given
in Eq. (204*) on the SH coordinates. The equations of motion in the center-of-mass frame in MH coordinates
have been given in Eqs. (222); see also Ref. [9*] for details about the transformation between SH and MH
coordinates.
At the 3PN order the radial equation in ADM or MH coordinates is still given by Eq. (340*). However, the Kepler equation (341*) and angular equation (342*) acquire extra contributions and now become
in which the true anomaly
is still given by Eq. (343*). The new orbital elements
,
,
,
,
,
,
and
parametrize the 2PN and 3PN relativistic
corrections.73
All the orbital elements are now to be related, similarly to Eqs. (345), to the constants
and
with
3PN accuracy in a given coordinate system. Let us make clear that in different coordinate systems such as
MH and ADM coordinates, the QK representation takes exactly the same form as given by Eqs. (340*) and
(346). But, the relations linking the various orbital elements
,
,
,
,
,
,
to
and
or
and
, are different, with the notable exceptions of
and
.
Indeed, an important point related to the use of gauge invariant variables in the elliptical orbit case is
that the functional forms of the mean motion
and periastron advance
in terms of the gauge
invariant variables
and
are identical in different coordinate systems like the MH and ADM
coordinates [170*]. Their explicit expressions at 3PN order read
Because of their gauge invariant meaning, it is natural to use
and
as two independent
gauge-invariant variables in the general orbit case. Actually, instead of working with the mean motion
it
is often preferable to use the orbital frequency
which has been defined for general quasi-elliptic orbits in
Eq. (337*). Moreover we can pose
used in the circular orbit
case. The use of
as an independent parameter will thus facilitate the straightforward reading out and
check of the circular orbit limit. The parameter
is related to the energy and angular momentum
variables
and
up to 3PN order by
Besides the very useful gauge-invariant quantities
,
and
, the other orbital elements
,
,
,
,
,
,
,
,
,
,
,
parametrizing Eqs. (340*) and (346) are not
gauge invariant; their expressions in terms of
and
depend on the coordinate system in use. We refer
to Refs. [312*, 9*] for the full expressions of all the orbital elements at 3PN order in both MH and ADM
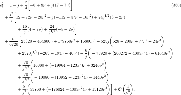
coordinate systems. Here, for future use, we only give the expression of the time eccentricity
(squared)
in MH coordinates:
Again, with our notation (344), this appears as a post-Newtonian expansion in the small parameter
with fixed “Newtonian” parameter
.
In the case of a circular orbit, the angular momentum variable, say
, is related to the constant of
energy
by the 3PN gauge-invariant expansion
![( ) ( 2) ( [ ] 2 3) ( ) j = 1 + 9-+ ν- 𝜀+ 81-− 2ν + ν-- 𝜀2+ 945- + − 7699-+ 41π2 ν + ν--+ ν-- 𝜀3+ 𝒪 1- . circ 4 4 16 16 64 192 32 2 64 c8](article2658x.gif)
This permits to reduce various quantities to circular orbits, for instance, the periastron advance is found to be well defined in the limiting case of a circular orbit, and is given at 3PN order in terms of the PN parameter (230*) [or (348*)] by
![( 27 ) ( 135 [ 649 123 ] ) ( 1 ) Kcirc = 1 + 3x + ---− 7 ν x2 + ----+ − ----+ ---π2 ν + 7ν2 x3 + 𝒪 -8 . 2 2 4 32 c](article2659x.gif)
See Ref. [291] for a comparison between the PN prediction for the periastron advance of circular orbits and numerical calculations based on self-force theory in the small mass ratio limit.
10.3 Averaged energy and angular momentum fluxes
The gravitational wave energy and angular momentum fluxes from a system of two point masses in elliptic motion was first computed by Peters & Mathews [340*, 339*] at Newtonian level. The 1PN and 1.5PN corrections to the fluxes were provided in Refs. [416, 86*, 267*, 87*, 366*] and used to study the associated secular evolution of orbital elements under gravitational radiation reaction using the QK representation of the binary’s orbit at 1PN order [149]. These results were extended to 2PN order in Refs. [224*, 225] for the instantaneous terms (leaving aside the tails) using the generalized QK representation [170, 379, 420]; the energy flux and waveform were in agreement with those of Ref. [424] obtained using a different method. Arun et al. [10*, 9*, 12*] have fully generalized the results at 3PN order, including all tails and related hereditary contributions, by computing the averaged energy and angular momentum fluxes for quasi-elliptical orbits using the QK representation at 3PN order [312], and deriving the secular evolution of the orbital elements under 3PN gravitational radiation reaction.74
The secular evolution of orbital elements under gravitational radiation reaction is in principle only the starting point for constructing templates for eccentric binary orbits. To go beyond the secular evolution one needs to include in the evolution of the orbital elements, besides the averaged contributions in the fluxes, the terms rapidly oscillating at the orbital period. An analytic approach, based on an improved method of variation of constants, has been discussed in Ref. [153*] for dealing with this issue at the leading 2.5PN radiation reaction order.
The generalized QK representation of the motion discussed in Section 10.2 plays a crucial role in
the procedure of averaging the energy and angular momentum fluxes
and
over one
orbit.75
Actually the averaging procedure applies to the “instantaneous” parts of the fluxes, while the “hereditary”
parts are treated separately for technical reasons [10*, 9*, 12*]. Following the decomposition (308*) we pose
where the hereditary part of the energy flux is composed of tails and tail-of-tails. For
the angular momentum flux one needs also to include a contribution from the memory effect [12*]. We thus
have to compute for the instantaneous part
.
Thanks to the QK representation, we can express
, which is initially a function of
the natural variables
,
and
, as a function of the varying eccentric anomaly
,
and depending on two constants: The frequency-related parameter
defined by (348*), and
the “time” eccentricity
given by (350). To do so one must select a particular coordinate
system – the MH coordinates for instance. The choice of
rather than
(say) is a matter
of convenience; since
appears in the Kepler-like equation (346a) at leading order, it will
directly be dealt with when averaging over one orbit. We note that in the expression of the
energy flux at the 3PN order there are some logarithmic terms of the type
even
in MH coordinates. Indeed, as we have seen in Section 7.3, the MH coordinates permit the
removal of the logarithms
in the equations of motion, where
is the UV scale
associated with Hadamard’s self-field regularization [see Eq. (221*)]; however there are still
some logarithms
which involve the IR constant
entering the definition of the
multipole moments for general sources, see Theorem 6 where the finite part
contains the
regularization factor (42*). As a result we find that the general structure of
(and similarly for
, the norm of the angular momentum flux) consists of a finite sum of terms of the type
has been inserted to prepare for the orbital average (351*). The coefficients
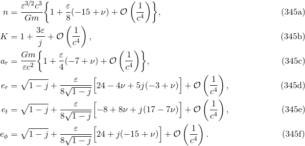
,
and
are straightforwardly computed using the QK parametrization as functions of
and
the time eccentricity
. The
’s correspond to 2.5PN radiation-reaction terms and will
play no role, while the
’s correspond to the logarithmic terms
arising at the
3PN order. For convenience the dependence on the constant
has been included into the
coefficients
’s. To compute the average we dispose of the following integration formulas
(
)76
In the right-hand sides of Eqs. (353b) and (353c) we have to differentiate
times with respect to the
intermediate variable
before applying
. The equation (353c), necessary for dealing with the
logarithmic terms, contains the not so trivial function
and vanishes after averaging since it involves only odd functions
of
.
Finally, after implementing all the above integrations, the averaged instantaneous energy flux in MH coordinates at the 3PN order is obtained in the form [9]
where we recall that the post-Newtonian parameter
is defined by (348*). The various instantaneous
post-Newtonian pieces depend on the symmetric mass ratio
and the time eccentricity
in MH
coordinates as
The Newtonian coefficient
is nothing but the Peters & Mathews [340] enhancement function of
eccentricity that enters in the orbital gravitational radiation decay of the binary pulsar; see Eq. (11*). For
ease of presentation we did not add a label on
to indicate that it is the time eccentricity in MH
coordinates; such MH-coordinates
is given by Eq. (350). Recall that on the contrary
is gauge
invariant, so no such label is required on it.
The last term in the 3PN coefficient is proportional to some logarithm which directly arises from the integration formula (353c). Inside the logarithm we have posed
exhibiting an explicit dependence upon the arbitrary length scale
; we recall that
was introduced
in the formalism through Eq. (42*). Only after adding the hereditary contribution to the 3PN energy flux
can we check the required cancellation of the constant
. The hereditary part is made of tails and
tails-of-tails, and is of the form
where the post-Newtonian pieces, only at the 1.5PN, 2.5PN and 3PN orders, read [10*]
where
,
,
,
and
are certain “enhancement” functions of the
eccentricity.
Among them the four functions
,
,
and
appearing in Eqs. (359) do not
admit analytic closed-form expressions. They have been obtained in Refs. [10*] (extending Ref. [87*]) in the
form of infinite series made out of quadratic products of Bessel functions. Numerical plots of these four
enhancement factors as functions of eccentricity
have been provided in Ref. [10*]; we give
in Figure 3* the graph of the function
which enters the dominant 1.5PN tail term in
Eq. (358*).
with the eccentricity
. This function agrees
with the numerical calculation of Ref. [87*] modulo a trivial rescaling with the Peters–Mathews
function (356a). The inset graph is a zoom of the function at a smaller scale. The dots represent the
numerical computation and the solid line is a fit to the numerical points. In the circular orbit limit
we have
. Furthermore their leading correction term
in the limit of small eccentricity
can be
obtained analytically as [10]
On the other hand the function
in factor of the logarithm in the 3PN piece does admit some
closed analytic form:
The latter analytical result is very important for checking that the arbitrary constant
disappears
from the final result. Indeed we immediately verify from comparing the last term in Eq. (356d) with
Eq. (359c) that
cancels out from the sum of the instantaneous and hereditary contributions in the
3PN energy flux. This fact was already observed for the circular orbit case in Ref. [81]; see also the
discussions around Eqs. (93*) – (94*) and at the end of Section 4.2.
Finally we can check that the correct circular orbit limit, which is given by Eq. (314), is recovered from
the sum
. The next correction of order
when
can be deduced from
Eqs. (360) – (361*) in analytic form; having the flux in analytic form may be useful for studying the
gravitational waves from binary black hole systems with moderately high eccentricities, such as those
formed in globular clusters [235].
Previously the averaged energy flux was represented using
– the gauge invariant variable (348*) –
and the time eccentricity
which however is gauge dependent. Of course it is possible to provide a fully
gauge invariant formulation of the energy flux. The most natural choice is to express the result in terms
of the conserved energy
and angular momentum
, or, rather, in terms of the pair of
rescaled variables (
,
) defined by Eqs. (344). To this end it suffices to replace
by its
MH-coordinate expression (350) and to use Eq. (349) to re-express
in terms of
and
.
However, there are other possible choices for a couple of gauge invariant quantities. As we have
seen the mean motion
and the periastron precession
are separately gauge invariant
so we may define the pair of variables (
,
), where
is given by (348*) and we pose
reduces to the angular-momentum related variable
in the limit
. Note however that with the latter choices (
,
) or (
,
) of
gauge-invariant variables, the circular-orbit limit is not directly readable from the result; this is
why we have preferred to present it in terms of the gauge dependent couple of variables (
,
).
As we are interested in the phasing of binaries moving in quasi-eccentric orbits in the adiabatic
approximation, we require the orbital averages not only of the energy flux
but also of the angular
momentum flux
. Since the quasi-Keplerian orbit is planar, we only need to average the magnitude
of the angular momentum flux. The complete computation thus becomes a generalisation of the previous
computation of the averaged energy flux requiring similar steps (see Ref. [12*]): The angular momentum flux
is split into instantaneous
and hereditary
contributions; the instantaneous part is averaged
using the QK representation in either MH or ADM coordinates; the hereditary part is evaluated separately
and defined by means of several types of enhancement functions of the time eccentricity
;
finally these are obtained numerically as well as analytically to next-to-leading order
. At
this stage we dispose of both the averaged energy and angular momentum fluxes
and
.
The procedure to compute the secular evolution of the orbital elements under gravitational
radiation-reaction is straightforward. Differentiating the orbital elements with respect to time, and using the
heuristic balance equations, we equate the decreases of energy and angular momentum to the corresponding
averaged fluxes
and
at 3PN order [12]. This extends earlier analyses at previous orders:
Newtonian [339] as we have reviewed in Section 1.2; 1PN [86, 267]; 1.5PN [87, 366] and 2PN [224, 153*].
Let us take the example of the mean motion
. From Eq. (347a) together with the definitions (344) we
know the function
at 3PN order, where
and
are the orbit’s constant energy and angular
momentum. Thus,
have already been used at Newtonian order in Eqs. (9). Although heuristically assumed at 3PN order, they have been proved through 1.5PN order in Section 5.4. With the averaged fluxes known through 3PN order, we obtain the 3PN averaged evolution equation as
We recall that this gives only the slow secular evolution under gravitational radiation reaction for eccentric orbits. The complete evolution includes also, superimposed on the averaged adiabatic evolution, some fast but smaller post-adiabatic oscillations at the orbital time scale [153, 279].

![∫ ra dr P = 2 ∘-----. (332 ) rp ℛ [r]](article2487x.gif)
![∫ ra K = -1 dr∘-𝒮[r]-, (333 ) π rp ℛ [r]](article2489x.gif)

![∫ r --ds--- ℓ = n ∘ -----. (335 ) rp ℛ [s]](article2500x.gif)
![∫ ℓ 1- ϕ = ϕp + n 0 dl𝒮 [r(l)], (336 )](article2506x.gif)


![1 ∫ ℓ W (ℓ) = -- dl(𝒮 [r(l)] − Ω ). (339 ) n 0](article2521x.gif)



![[ ( 1 + e )1∕2 u ] v ≡ 2arctan ----ϕ-- tan -- . (343 ) 1 − eϕ 2](article2554x.gif)










![[ ∘1--−-e2 + 1] [ ∘1--−-e2 − 1 ] Z (z,et) = ln -------t----- + 2 ln 1 + ----∘--t----- . (354 ) 2 z + z2 − e2t](article2702x.gif)







![[ ] F(et) = -----1----- 1 + 85e2t + 5171-e4t + 1751-e6t + 297-e8t . (361 ) (1 − e2t)13∕2 6 192 192 1024](article2739x.gif)






