5 Dynamical Evolution
The evolution of the compact binary population in a globular cluster depends on the interplay between the global evolution of the cluster as described in Section 2.3, the few-body interactions described in Section 4.3, and the binary stellar evolution described in Section 4.1. Simulations that attempt to describe the compact binary population of a globular cluster must be able to couple these processes and describe their mutual interaction.The evolution of globular clusters is primarily governed by point-mass gravitational attraction between individual stars and thus their overall structure can be described in terms of classical Newtonian N-body dynamics. Other processes, however, play a major role. Stellar evolution obviously affects the number and properties of compact objects and compact binaries so describing it accurately is important for producing the correct population of compact objects. Stellar evolution can also result in significant mass-loss from individual stars and this mass-loss changes the mass of the cluster enough to affect its dynamical evolution. Consequently the global dynamical evolution of a globular cluster is coupled to nuclear burning in individual stars. This is particularly true in the first 1 – 2 Gyrs of cluster evolution where massive stars are still evolving and where significant mass-loss can occur on timescales of 10 – 100 Myrs. Indeed, since this timescale is significantly shorter that the relaxation timescale, simulating the dynamical response of the cluster to this mass loss can be very numerically challenging. Stellar evolution also affects the orbital parameters of the binary population and, as we have seen in Section 2.3, binaries can be an energy source for the cluster and can slow down or halt core collapse. Thus the details of both binary evolution and few-body interactions can affect the global dynamics of a globular cluster. Finally, the loop is closed by the fact that the global dynamics of a globular cluster can affect the properties of the binary population by bringing stars and binaries close enough that they can interact and perturb each other. We are interested in the binary population that is the end result of this complex interplay of different processes operating on very different spatial and temporal scales. Simulating star cluster dynamics is a problem that has a long history and has promoted contact between various branches of astrophysics. The MODEST (MOdeling DEnse STellar systems) collaboration, a collection of various working groups from different backgrounds, maintains a website that provides some up-to date information about efforts to model the dynamical and stellar evolution of star clusters [340].
5.1 Star cluster simulation methods
Broadly speaking, there are three approaches that can be used to simulate the dynamical evolution of star clusters. The first, direct N-body integration, treats the dynamical evolution of a star cluster by numerically solving Newton’s equations. The second, the distribution function method, represents the the star cluster using a 6N dimensional distribution function and then describes its evolution using a collisional form of the Boltzmann equation. Both of these methods have their strengths and weaknesses. Several authors have compared these techniques and in general find that they agree well [198, 262
, 201, 463
]. The summary of the MODEST-2
meeting gives a fairly recent review of efforts to implement these techniques and use them in
simulations [439]. The third method, the encounter rate technique, does not self-consistently simulate the
evolution of star clusters but uses a static cluster model combined with individual scattering
experiments to estimate the effect of dense stellar systems on a specific population. In the next three
sections we outline these techniques. We then conclude the chapter by summarizing some of
the most recent results about compact binary populations in star clusters derived using these
methods.
5.1.1 Direct N-body integration
Direct N-body simulations are conceptually the most straightforward method of simulating star clusters. Each star is explicitly represented by a massive (non-test) particle and the gravitational interactions are calculated by numerically integrating the 3N coupled differential equations of motion in classical Newtonian gravity:
Here,
is the mass of particle
and
are the positions of particles
and
respectively. A
great deal of general information on direct N-body methods can be found in the review article by
Spurzem [444
] and Aarseth’s book on N-body simulations [4
].
There are currently two major families of codes used for direct N-body simulations: the
Kira/STARLAB/AMUSE environment and the NBODYX series of codes. Kira integrates the N-body
equations of motion using a 4th-order Hermite predictor-corrector scheme [317]. Kira is available as part of
the star cluster evolution code STARLAB [238], a code that also includes a stellar and binary evolution
package, SeBa, based on the analytic tracks of Hurley et al. [230
, 233
], and various other routines for
generating initial conditions and dealing with tidal processes. Kira is also available in the more recent star
cluster simulation environment AMUSE (Astrophysical Multipurpose Software Environment) [384]. AMUSE
is designed to be highly modular and allows the user a choice between various integrators, stellar
evolution routines and prescriptions for dealing with stellar collisions. The NBODYX series of
codes are a long-standing feature of the stellar dynamics community and have been in constant
development by Aarseth since the late 1960s [1]. These codes employ the same basic 4th-order
Hermite predictor-corrector scheme as Kira and include (in some versions) stellar evolution
based on the same Hurley et al. analytic tracks. The NBODYX codes, however, treat binary
evolution rather differently and are highly optimized for computational efficiency. Aarseth has
produced two excellent reviews of the general properties and development of the NBODYX
codes [3, 2] and includes further details in his book on N-body simulations [4]. A fairly complete
summary of common N-body codes and related applications can also be found on the NEMO
website [353].
The primary advantage of direct N-body simulations is the small number of simplifying assumptions made in treating the dynamical interactions. All gravitational interactions are explicitly integrated so the direct N-body method can, in principle, resolve all of the microphysics involved in the evolution of globular clusters. In this sense direct N-body simulations represent star clusters “as they really are”. Furthermore, since all trajectories involved in any interaction are known, it is easy to study each interaction in detail. Finally, because direct N-body simulations produce star-by-star models of globular clusters, it is relatively straightforward to couple them with additional stellar physics such as stellar evolution, stellar equations of state, stellar collision models and so on. Therefore, within the limits of numerical error, the results of direct N-body simulations are very reliable and represent the gold standard in globular cluster modelling.
Direct N-body simulations are, however, very computationally expensive. Over a relaxation time, the
computational cost of a direct N-body simulation intrinsically scales as
[199
]. Two factors of N
come from calculating the pairwise interactions, another factor comes from the increasing number of
interactions per crossing time as N increases, and a final factor of
comes from the
increasing length of
compared to the crossing timescale (see Eq. 5
). Another problem is the
very large range of scales present in globular clusters [236, 199]. Distances, for instance, can
range from a few tens of kilometers (neutron star binaries) to several tens of parsecs (the size
of the cluster itself). The timescales can have an even larger range, from several milliseconds
(millisecond pulsar binaries) to several Gigayears (the relaxation times of very large globular clusters).
In the most extreme cases it may be necessary to know positions to 1 part in 1014 while a
cluster may need to be advanced on timescales 1020 times shorter than its lifetime. Furthermore,
N-body systems are known to be chaotic [335, 336, 169]. This means that the integration
schemes must be very accurate (4th-order or better). Consequently they are very computationally
expensive. Overall this means that with increasing N direct N-body simulations rapidly become
computationally intractable. Pure N-body simulations are scale-free and hence it is, in principle, possible
to scale up the results of a small-N simulation [35]. However, this is not possible once other
physical processes, such as stellar evolution, are included. Thus the need for large-N simulations is
unavoidable.
There are several methods that can be used to mitigate these problems. The Hermite scheme, for instance, requires only the first and second derivatives of acceleration, even though it is a 4th-order method. Since dynamical evolution proceeds more quickly in regions of high stellar density, the stars in cluster halos do not need to have their phase space parameters updated as frequently as those in cluster cores. Both STARLAB and NBODYX include individual adaptive timesteps to ensure that during each force calculation, only the necessary particles have their parameters updated. Some of the NBODYX codes also include a neighbour scheme so that not all pairwise forces need to be explicitly calculated at each timestep. Binaries tight enough that their internal evolution is largely unaffected by external forces from the cluster can also be removed from the global dynamical evolution and replaced with a single center-of-mass particle. The evolution of the binary itself can then be followed using an efficient special-purpose code. STARLAB calculates the evolution of binaries using a semi-analytic Keplarian two-body code that admits perturbations from the cluster environment. The NBODYX codes use a regularization technique to achieve the same effect with the additional advantage of removing the singularity created by very close binaries. Both of these methods avoid the global timestep of the star cluster being reduced to that of its tightest binary.
Attempts have been made to create parallel direct N-body codes with NBODY6++ [444] being the
most successful example. A major problem with this type of parallization is that each particle
in an N-body calculation formally requires information about every other particle for each
force calculation. This means that parallel N-body codes are communication dominated and
do not scale well with the number of processors. Another approach has been to use hardware
acceleration. The GRAPE (GRavity PipE), invented by Makino [318], is a special-purpose computer
designed to rapidly calculate the
force necessary for direct N-body simulations. The current
generation, the GRAPE-6, was reported to have a peak speed of 64 T-flops in 2002 [460]. A single
GRAPE 6 board, the GRAPE-6A, is also available as PCI card [142]. The next generation
GRAPE, the GRAPE-DR, is predicted to have a peak speed of
2 P-flops [316]. It is not yet
clear when (or if) the GRAPE-DR will become commercially available. Another very promising
possibility is hardware acceleration using GPUs (Graphical Processing Units) [446]. GPUs provide a
similar service to the GRAPE while having the advantages of being available off-the-shelf and
commercially supported. AMUSE, NBODY6 and NBODY6++ have been modified to make use of
GPUs.
Despite developments in both hardware and software, current direct N-body simulations are practically
relegated to
, about an order of magnitude lower than the number of stars in a typical globular
cluster. Furthermore, such simulations can take several months of real-time computation to reach the
10 Gyr age estimated for Galactic globular clusters and this makes large parameter-space studies
impossible. For this reason more approximate methods employing distribution functions are still widely used
in stellar dynamics.
5.1.2 Distribution function methods
Some of the computational problems associated with direct N-body simulations can be avoided by
describing globular clusters in terms of distribution functions rather than as ensembles of particles. The
distribution function for stars of mass
at time
,
, is 6N-dimensional in
position-velocity phase space. The number of stars in the phase space volume
is given by
. This description requires that either the phase space volume
is small enough
to be infinitesimal yet large enough to be statistically meaningful or, more commonly, that
be interpreted as the probability of finding a star of mass
in the volume
at
time
. The time evolution of the cluster is modelled by calculating the time evolution of
. The effect of gravity is divided into two components. The first is a smoothed potential,
, that describes the effect of the overall gravitational field of the cluster.
is found by
solving the Poisson equation, which can be written in terms of the distribution function as:
, that can be thought of as the effect of random close
encounters between individual stars. In this picture
represents the smooth background gravitational
field of the cluster while
represents the granularity induced by the mass concentration in individual
stars. The time evolution of
is calculated using a modified form of the Boltzmann Equation:
In stellar dynamics, Eq. 43
is usually called the Fokker–Planck equation.
Eq. 43
can be directly solved (numerically) if a specific expression for
can be found. One
common choice is to consider a cluster in the weak scattering limit where distant two-body
interactions drive dynamical evolution. This is essentially equivalent to assuming the cluster
evolves only by two-body relaxation as described in Section 2.3. In this case
can be
described by an expansion in the phase space coordinates (
and takes on the form [57]:
is the expectation value of the phase space variable over some time
. In practise it is not
efficient to solve Eqs. 43
and 44
in Cartesian coordinates but an appropriate choice of
can alleviate
this problem. The key observation is that there are two relevant timescales for evolution in the
Fokker–Planck approximation: the crossing time,
, that governs changes in position, and the relaxation
time,
, that governs changes in energy. In the case where
changes in position are
essentially periodic and at any given time the orbit of a star can be written in terms of its
energy,
, and the magnitude of its angular momentum vector,
. By making a careful
choice of
and suitable assumptions about the symmetry of the potential and the velocity
dispersion [77, 443
] it is possible to describe the evolution of the phase space structure of the
cluster solely in terms of the orbital parameters and Eqs. 43
and 44
can be written in terms of
and
alone. In this representation Eq. 43
is called the orbit-averaged Fokker–Planck
equation.
Numerically solving the orbit-averaged Fokker–Planck equation is much less computationally intensive
than a direct N-body simulation and can be used to model a full-sized globular cluster. Since these
simulations are much faster (taking hours or days rather than months) they are also useful for performing
parameter space studies. It is also possible, in principle, to improve the accuracy of the Fokker–Planck
method by including higher-order terms in Eq. 44
[420
]. The Fokker–Planck method can be
generalized to include velocity anisotropies, tidal stripping, non-spherical potentials and cluster
rotation [118, 260, 262].
The Fokker–Planck method also has some serious limitations. Each stellar mass in the cluster requires
its own distribution function in Eq. 43
. For more than a few distribution functions the Fokker–Planck
method becomes numerically intractable so the ability of the method to resolve a continuous spectrum of
masses is limited. Since the Fokker–Planck method uses a distribution function, it does not automatically
provide a star-by-star representation of a globular cluster. This means that it can be difficult to compare
the results of a Fokker–Planck simulation with observations. It is also difficult to include stellar evolution in
Fokker–Planck simulations because there are no individual stars to evolve. For the same reason
Fokker–Planck methods cannot easily model strong few-body interactions, interactions that
are essential for describing the evolution of the compact binary fraction in star clusters [144].
Therefore Fokker–Planck methods are of limited use in studying binary populations in star
clusters.
Another approach to solving Eq. 43
that avoids some of the problems of the Fokker–Planck approach is
the Monte Carlo method. This method was first developed by Hénon [210, 209, 211] and significantly
improved by Stodółkiewicz [449, 450]. It does not use the distribution function explicitly but rather
represents the cluster as a ensemble of particles, just like a direct N-body simulation. Each particle is
characterized by a mass, a distance from the cluster center, and a tangential and radial velocity. The
underlying treatment of relaxation is the same as in the Fokker–Planck approach but is calculated on a
particle-by-particle basis. At the beginning of a Monte Carlo timestep the code calculates the global
potential based on the current mass and radial position of each particle. This potential is then used to
generate a plane-rosette orbit for each particle, defined by
and
(the orbit-averaged approximation).
Next each particle has its orbit perturbed by a weak encounter, the parameters of which are
calculated between it an a neighbouring particle. The key to the method is that assuming weak
scattering, this perturbation is statistically representative of all weak encounters the particle
will experience over a time
. Thus the results of the perturbation can be multiplied by
an appropriately chosen factor to represent the total perturbation the particle receives over
. Once the new orbits have been found, new positions can be randomly chosen from a
time-weighted average along the orbital path, a new potential calculated, and the process can start
again.
The Monte Carlo method is mathematically identical to the Fokker–Planck method but, since each star
is individually represented, it is much easier to couple with additional physics. Each star in the simulation
can have a different mass with no loss of efficiency so the method can resolve a continuous mass spectrum.
Stellar evolution can be included in exactly the same way as a direct N-body code. It is also relatively easy
to include strong few-body interactions. For each star or binary at each timestep a cross-section for a strong
interaction with another star or binary can be calculated and the encounter resolved using
either analytic prescriptions or explicit few-body integration. Thus the Monte Carlo method has
many of the advantages of the direct N-body method while being much faster. Since there
are a fixed number of operations per particle, the Monte Carlo method scales almost directly
with N rather than the
dependence of a direct N-body code. Thus a simulation of
can be completed in a matter of days, rather than the months required by the direct
N-body method. Monte Carlo codes have been shown to re-produce observations [197, 158, 159
]
and the results of direct N-body codes [155
, 128, 72
] quite well, although some discrepancies
remain [463
].
The Monte Carlo method does have some shortcomings. It is limited by the weak scattering approximation and is not always reliable in the core region where interactions can be very strong. It is also strongly limited by what is assumed for the cross-sections for various types of few body interactions. If these are incorrect than the number and relative importance of single-single, binary-single and binary-binary interactions will be wrong. The only way to calibrate these interactions is by careful comparison with direct N-body simulations. The method is further limited by how accurately the outcomes of few-body interactions themselves are calculated. Analytic prescriptions for the outcomes are fast but cannot cover all initial conditions accurately while direct few-body integration is more general but imposes a computational cost. While not a fundamental requirement of the method, current Monte Carlo codes are one-dimensional (in that the position of each star is defined only by its radial position) and thus they are limited to spherical symmetry. In particular this means Monte Carlo codes currently cannot model rotating clusters. A rotating Monte Carlo code is possible in principle but would require a significant amount of development.
Despite these limitations Monte Carlo methods have proved to be quite effective for efficiently
modelling star clusters and there are several version currently available, in particular those of
Freitag [137], the Northwestern Group [253
, 252
, 130
, 72
] and Giersz [153
, 154, 155
, 159
, 160]. The
Freitag code is focused on simulations of star clusters with central massive objects but the
Northwestern and Giersz codes are suitable for general cluster dynamics and are roughly comparable in
capabilities.
Another option for solving Eq. 43
is to use an analogy between between a globular cluster and a
self-gravitating gaseous sphere [298, 161, 445]. These models are solved by taking moments of the
Boltzmann equation and, like the Fokker–Planck method, can have their accuracy increased by including
higher-order moments [420]. The term “anisotropic gas model” is often used to describe these methods due
to the analogy between hydrodynamical models of stellar evolution and due to the fact that they can admit
an anisotropic velocity distribution. An accessible description of some of the mathematical details of the
method are given by Amaro-Seoane [15
, 12]). The anisotropic gas models still operate in the continuum
limit so they have the same difficulty dealing with binary populations, strong few-body interactions
and stellar evolution as the Fokker–Planck method. For this reason they are of limited use for
simulating binary populations in globular clusters. However the method is applicable to the
stellar dynamics of very large-N systems such as galactic centers and has been particularly
useful for modelling systems containing massive central compact objects such as supermassive
black holes (e.g. [15]). An attempt to improve the treatment of binaries in the anisotropic
gas model has resulted in the so-called “hybrid” code where single stars are treated by the
gaseous moment equations while strong few-body encounters are treated using a Monte Carlo
method [162, 163
]. So far this method has not been used to examine compact binary populations in star
clusters.
5.1.3 Encounter rate techniques
Encounter rate techniques are another method that has proven very useful for understanding the effect of dense stellar environments on binary populations. These methods do not deal with the global evolution of globular clusters but rather deal with the interactions between an environment and a particular stellar species. Normally a stellar density distribution is established for a globular cluster (or its core) and then the number of interactions per unit time is calculated for a specific object using cross-sections. The density distribution, interactions and outcomes can be calculated either analytically or numerically, depending on the complexity of the system in question. These methods are limited but are very useful for estimating which processes will be the most significant for specific stellar populations. There is no “general method” for encounter rate techniques but we will discuss some specific implementations in Section 5.2.
5.2 Results from models of globular clusters
Over the past two decades, there has been extensive work modeling the dynamical evolution of
globular clusters. Published studies have employed encounter rate techniques in static cluster
backgrounds, Fokker–Planck and Monte Carlo models and direct N-body simulations – e.g.,
[51
, 54, 334
, 372, 383, 402, 405
, 421, 429
, 438
, 458, 95
, 93
, 94
, 96, 289
, 163, 155
, 159, 253, 252,
130, 244
, 132, 131, 72, 387, 390, 386, 315, 232, 231, 229]. These models can, if properly interpreted,
provide a wealth of information about stellar populations in globular clusters. These models, however, have
limitations that must be understood. The dynamical approximations employed coupled with an imperfect
understanding of stellar and binary evolution make it impossible to compare the results of these simulations
directly to observations. The problem is exacerbated by the fact that many authors are more
concerned with the development of numerical methods than on producing astrophysical results.
Furthermore, few of these studies focus on (and some do not even model) the compact binary
population. Those that do often focus on the effect that the compact population will have on the
cluster dynamics rather than the effect the cluster dynamics will have on the compact binary
population. Nevertheless, many published simulations provide useful insights into the behaviour of
compact binary populations in dense stellar systems. Here we report on these results for binaries
where the primary is a WD, NS or BH, trying to give both a historical overview as well as
details of the latest results. When reading past papers, attention must be paid to terminology. A
neutron star binary, for instance, can imply a binary composed of two neutron stars or simply a
binary where a neutron star is paired with any type of secondary depending on the authors
preference. Here we attempt to clearly indicate the nature of the secondary in order to resolve any
ambiguities.
5.2.1 Binaries with white dwarf primaries
There are two kinds of binaries with white dwarf primaries that have attracted particular attention from modelers: cataclysmic variables (CVs) and double white-dwarf binaries (DWDs). As described in Section 3.1, CVs consist of white dwarfs accreting matter from a companion, normally either a dwarf star or another white dwarf. CVs with a dwarf star companion are not, strictly speaking, relativistic binaries as defined in the introduction. Unlike many double-degenerate binaries, however, CVs can be observed in the electromagnetic spectrum and they are very useful for understanding the behaviour of compact objects in globular clusters. CVs with a helium white-dwarf companion are known as AM CVn systems and are a type of DWD. DWDs, which as the name suggests are binaries of two white dwarfs, are relativistic binaries but not all are AM CVns and are not always visible in electromagnetic radiation. The merger of DWDs may, however, be observed as a SNe Ia and at wider separations they may be observed as low-frequency gravitational wave sources. Thus they too have attracted attention from globular cluster modelers.White dwarfs are the lowest-mass compact stellar remnants and are not necessarily significantly more massive than the main sequence turn-off of present-day globular clusters. Because of this they may not experience significant mass segregation or be as centrally concentrated as higher-mass stellar remnants. Indeed for much of the life of a star cluster, white dwarfs may be lighter than the average stellar mass in the cluster and could be pushed to the outskirts. This means that white dwarfs are not necessarily found in regions of high stellar density so they may actually have a low probability of interaction with other stars and binaries. Furthermore, when interactions do occur their lower masses mean they may not be clearly preferred for exchange into binaries. Due to these uncertainties modeling is crucial to understanding their behaviour in globular clusters.
Lee (1987) [289] is an example of an early numerical study of the compact binary population in globular clusters, focusing on the effect of the binaries on the cluster dynamics. It is based on Fokker–Planck models using two different stellar mass components to represent main sequence stars and compact objects. It demonstrated that compact objects have a strong effect on the cluster core, implying they experience many interactions and highlighting the importance of the cluster environment for compact binaries.
One of the earliest studies of CVs in globular clusters is found in Di Stefano and Rappaport (1994) [103]
who performed a large series of simulations using an encounter-rate technique. Specifically, they
performed numerical two-body scattering experiments in static cluster backgrounds coupled with
binary stellar evolution prescriptions in order to investigate the tidal capture and subsequent
evolution of CVs. The cluster parameters were chosen to match the current states of 47 Tuc and
Cen. Since these clusters are frequently compared in studies of compact binaries, some of their
properties are given in Table 4 (more details can be found in the Harris Catalogue of globular
clusters [193]). The primary differences between these clusters are that
Cen is significantly more
massive that 47 Tuc while 47 Tuc is much more concentrated and dynamically older than
Cen.
Cen taken from Davies and Benz [95
].
is the total mass,
the central density,
the core radius,
the tidal radius and
the
current estimated half-mass relaxation time.| Cluster | [ ] |
[ /pc] |
[pc] |
[pc] |
[Gyr] |
Cen |
|
|
3.4 | 74.0 | 16.0 |
| 47 Tuc | |
|
0.59 | 69.0 | 8.7 |
The simulations of Di Stefano and Rappaport produced 150 – 200 CVs in 47 Tuc,
45 of which had
an accretion luminosity of
and would be visible at the current epoch. For
Cen they
predicted 100 – 150 and
20 respectively. They claimed a factor of
10 enhancement in the number
of CVs over the field population. The authors point out both that this number of CVs was barely within the
upper limits on the number of CVs in clusters known observationally at the time and that the number could
be even higher when binary-single and binary-binary interactions were taken into account.
Observations of CVs in globular clusters were in their infancy at the time and many more
have since been discovered. However the over-production of CVs remained a problem in later
works.
The next studies to touch on CVs in globular clusters were a series of papers by Davies and
collaborators in 1995 – 1997 [95
, 93
, 94
] concerned with exotic binaries produced by dynamical interactions.
These were also encounter rate models but included binary-single interactions as well as tidal
capture. Davies and collaborators [95
, 93
] reported many single-single interactions between
white dwarfs and main sequence stars but found that the majority of strong encounters led to
mergers rather than CVs. Overall Davies predicted more CVs in 47 Tuc (smaller, concentrated,
dynamically older) than than in
Cen (larger, less concentrated, dynamically younger) but
more merged systems than CVs in both. They also predicted a reasonable number of DWD
mergers in both clusters, most of which were above a Chandrasekhar mass and could lead to
SNe Ia.
In 1997 Davies [94] produced another encounter rate study concentrating on the effect a cluster
environment would have on a population of binaries that would become CVs due to binary stellar evolution
in isolation. This study observed that disruption of binaries in a dense stellar environment is important and
can reduce the number of CVs compared to the field. Davies found that most CV progenitors in cluster
cores with number densities
are disrupted during dynamical interactions. Thus, if dynamical
interactions form no new CVs, the cores of galactic globular clusters will be depleted in CVs. CV
progenitors in the low-density halos of globular clusters may survive to become CVs if the relaxation time of
the cluster is long enough that they do not mass-segregate to the core. Davies proposed that
comparing the CV population in the cores and halos of globular clusters could be used as a probe of
their dynamical properties. A cluster with a core depleted in CVs compared to the halo will
not have experienced much dynamical binary formation while a cluster with a large number
of CVs in the core must have experienced dynamical binary formation at some point in its
history.
The first detailed study of DWDs in dense stellar environments became available with the direct N-body simulations of Shara and Hurley (2002) [429]. They were specifically interested in the galactic rate of SNe Ia and if globular clusters could significantly enhance it. They used the NBODY4 code to perform four 22,000 particle simulations with 10% primordial binaries, two different metallicities and detailed stellar evolution prescriptions. These simulations were in the open rather than globular cluster regime and were terminated after only 4.5 Gyr when they had lost more than 75% of their initial mass. They were run on 16 chip GRAPE-6 boards and took approximately five days each to complete.
Shara and Hurley found a factor of 2 – 3 enhancement in the number of DWDs in a clustered
environment compared to a similar field population. Exchange interactions seemed to be particularly
important since of the 135 DWDs produced between all four simulations, 93 formed by exchanges.
The enhancement in SNe Ia progenitors, DWDs with a total mass above a Chandrasekhar
mass and a gravitational wave inspiral timescale shorter than a Hubble time, was even greater.
They found
4 SNe Ia progenitors per 2000 binaries, a factor of
15 more than in
the field. Both exchange interactions and hardening during fly-bys were responsible for the
enhancement. Any DWD that went through a common envelope phase was assumed to be
circularized and they found that later encounters did not induce significant eccentricity in the
binaries. Thus they concluded that most DWDs in globular clusters will be circular. It is worth
noting, however, that most of these DWDs formed promptly, at less than 1 Gyr of cluster
age, and few had inspiral timescales longer than 1 Gyr. Therefore the applicability of these
results to globular clusters is unclear. They found that neither normal CVs nor AM CVns were
significantly enhanced over the field population. However, those in the clusters were often the result
of exchange interactions and their properties were different from the AM CVns in the field.
Overall this implies that most CVs in star clusters are the product of dynamics and that pure
binary stellar evolution channels for CV and AM CVn creation are shut down in clustered
environments.
Shara and Hurley (2006) [430] continued this work using a single 100,000 simulation with 5000 primordial binaries. This simulation took six months to run to an age of 20 Gyr using a 32-chip GRAPE-6 board. The focus of this simulation was on normal CVs, 15 of which were produced during the course of the simulation and three of which would be visible at the current epoch. A comparison between these simulations and the more statistical methods of Davies et al. illustrate the relative strengths of these methods. After six months the direct N-body simulations of Shara and Hurley produced only 15 objects for analysis, too few for solid statistics. Additional simulations for more objects or for verification purposes were too computationally expensive. By contrast the simulations of Davies et al. produced many more objects and multiple realizations of each cluster model were possible. This allowed for greater confidence in the statistical significance of the results. However, the N-body simulations of Shara and Hurley made no assumptions about the cross-sections for various types of interactions and they naturally included all dynamical processes. Without comparison to N-body simulations there is no way to tell if there were systematic errors in the cross-sections used by Davies et al. (or any other statistical method) or if important interactions were excluded. Both types of simulations are necessary for investigating the compact binary population in globular clusters. Direct N-body simulations provide a complete understanding of the physical processes involved while encounter rate techniques or distribution function methods can be used to provide the multiple realizations for the statistical verification and parameter space coverage that is too computationally expensive to produce using direct N-body methods.
Shara and Hurley found that dynamical effects pushed several of the progenitors to the active CV state
in a shorter time than would have occurred in the field. Indeed one of these binaries would have merged
without becoming a CV if not for an orbital perturbation. Furthermore the simulation produced two
binaries formed by exchange interactions that clearly have no analogs in the field. The exchange CVs were,
on average, more massive than CVs in the field. They confirmed that many CV progenitors were
destroyed by dynamical interactions and showed that a field population of stars with similar
properties would produce 17 CVs over 20 Gyr, nine of which would be visible at the current epoch.
Thus Shara and Hurley predicted
2 – 3 times fewer CVs in globular clusters than in the
field.
This simulation, although primarily focused on CVs, included some discussion of the DWD population
and generally confirmed the picture presented in Shara and Hurley 2002. In particular short-period
(
day, comparable to the largest period of SNe Ia progenitors in Shara and Hurley 2002) DWDs
were enhanced by a factor of 5 – 6 over the field population. Although this was somewhat less than the
factor of
15 previously reported it is still much larger than the enhancement found for in CVs. Shara
and Hurley proposed several reasons for more efficient DWD production in star clusters. In a DWD both
components must be sufficiently massive to become white dwarfs within a Hubble time while
only one does in a standard CV. Thus CVs are a much more common outcome of pure binary
stellar evolution than are DWDs. DWDs are also, on average, more massive than CVs and
thus tend to mass-segregate further towards the core and undergo more interactions. Finally,
since each component of a DWD is likely to be more massive than the main sequence star in a
CV and since exchanges tend to place massive objects in binaries, a DWD is a more likely
outcome of an exchange interaction between a main sequence star and two white dwarfs than is a
CV.
One of the most complete projects on the compact binary population in the recent literature is found in
a series of papers by Ivanova and collaborators [405
, 244
, 248
, 247
, 246
, 245
]. These papers simulate the
binary – and particularly the compact binary – population of star clusters using a combination of Monte
Carlo simulations and well-developed encounter rate techniques coupled with stellar and binary evolution
algorithms tailored towards compact objects [230, 233, 47]. These models generally assume a simplified
two-zone core-halo model for a globular cluster. The central number density of stars, the central
1-D RMS velocity dispersion and
are all taken to be fixed quantities. The stars are then
distributed with the correct core density with velocities drawn from a Maxwellian choose to give an
appropriate 3-D velocity dispersion in the core. Stars move from the core to the halo stochastically
based on probabilities calculated from estimates of the mass-segregation timescale. This type of
model can be used to produce a number density, mass distribution and velocity dispersion
for the core and halo at given intervals. From these it is possible to calculate cross sections
for stars and binaries to interact. Whether and what type of interaction occurs is determined
by Monte Carlo sampling while the interactions themselves are resolved by explicit few-body
integration.
Initially, Ivanova et al. (2005) [244
] considered the effect of cluster dynamics on the number of
all types of binaries globular clusters and showed that dynamical disruption will significantly
reduce the binary fraction for reasonable initial conditions. Indeed they showed that a globular
cluster where 100% of stars are initially binaries will normally have a core binary fraction of only
10% after several Gyrs. This implies that globular clusters may have had high binary fractions
when young and thus binary-single and binary-binary interactions may be more important than
previously thought. They also demonstrated both the binary burning that supports the cluster
against core collapse and a build-up of short-period white-dwarf binaries in the core, as shown in
Figure 12
.
is the total number of binaries and
is the number of binaries per bin. Image
reproduced by permission from Ivanova et al. [244
]. The models were improved by Ivanova et al. (2006) [247
] in order to investigate the white-dwarf binary
population in globular clusters. Stellar evolution and tidal capture were updated and single-single,
binary-single and binary-binary interactions were all included. They confirmed that CVs are not highly
over-produced in globular clusters relative to the field population but found that CV production is
moderately efficient in cluster cores. In the cores they predicted an enhancement over the field population of
a factor of 2 – 3. As with Shara and Hurley, the globular cluster CVs had different properties
than field CVs. In particular the globular cluster CVs were slightly brighter and had a larger
X-ray-to-optical flux. Ivanova et al. attributed this to slightly higher-mass white dwarfs in
the cluster CVs, just as found by Shara and Hurley. The more massive white dwarfs led to
globular cluster CVs that extracted more energy at the same mass transfer rate than field CVs
and had slightly higher magnetic fields. This was enough to account for the observed X-ray
excess.
Ivanova et al. shed more light on the dynamical processes that form CVs than previous encounter rate
studies because they included most of the likely formation mechanisms in the same simulation. Their results
showed that some 60 – 70% of CVs in the core form because of dynamical interactions while most of the
CVs in the halo originate from primordial binaries. Overall they found that only
25% of CVs
formed in the clusters would have become CVs in the field. They concluded that tidal capture of
main sequence stars is normally unimportant for CVs but that collisions between red giants
and main sequence stars – a situation where the envelope of the red giant can be stripped
away leaving its core as white dwarf bound to the main sequence star – could provide up to
15% the total number of CVs in the clusters. Exchange interactions were the most efficient
channel, forming
32% of all CVs in their simulations, while collisions during binary-single or
binary-binary encounters produced another
13%. The remaining CVs were produced by primordial
binaries but
20% of these experienced hardening encounters in fly-by interactions and would
not have become CVs in the field. Finally, Ivanova et al. found that 60% of their CVs did not
form solely by common envelope evolution, the most common channel for field CV production
and thus highlighted the importance of cluster dynamics for the CV population. Ultimately
Ivanova et al. predicted 1 detectable CV per
of mass in Galactic globular
clusters. They specifically predicted 35 – 40 CVs in 47 Tuc, of the same order as the 22 observed
there at the time. The discrepancy could be due to stochasticity, some inherent deficiencies in
the modeling or because not all CVs in 47 Tuc have been observed. Observations of globular
clusters in the 2000s, particularly in the UV [205, 105, 306] have indicated a larger number of
CVs than previously thought. The combination of fewer CVs in current models and a larger
number of detected CVs has gone a long way towards solving the “CV problem” in globular
clusters.
Ivanova et al. did not find a strong enhancement in DWDs compared to their reference field population, unlike Shara and Hurley who found an order-of-magnitude enhancement. This could be “‘real” in the sense that their simulations model larger systems than Shara and Hurely’s work and could be taken as evidence that, while DWDs are enhanced in open clusters, they are not in globular clusters. It could also be a result of the different numerical methods. The two-zone model of Ivanova et al., for example, may not be able to represent mass segregation as accurately as the direct N-body models of Shara and Hurley and thus the effect of interactions in the dense core could be underestimated. It is also possible that the encounter prescriptions were missing details that are important for DWD creation. Although not order-of-magnitude, Ivanova et al. did find a modest enhancement in the number of SNe Ia progenitors over the field population. They predicted that this will not contribute significantly to SNe Ia from Milky Way-type galaxies because only a very small fraction of their mass is in globular clusters. Elliptical galaxies, however, tend both to have a larger fraction of their mass in globular clusters and to have significantly older stellar populations. Since SNe Ia are usually associated with younger stellar populations the contribution of globular clusters to the SNe Ia rate in elliptical galaxies could be important. Ivanova et al. pointed out that DWD mergers and accretion induced collapse of WDs can produce neutrons stars and may do so without imparting a natal kick. Given their assumptions about common envelope evolution Ivanova et al. found that the merger of the DWDs produced a number of neutron stars comparable to the number formed by massive stellar evolution with natal kicks and then retained. Indeed they found that merger-induced collapse of DWDs led to an over-production of neutron stars in globular clusters. They argued that either merger-induced SNe Ia must not lead to neutron star production in the majority of cases or that they over-estimated the energy dissipation efficiency of common envelope evolution.
Willems et al. 2007 [487
] performed an extended analysis of the simulations of Ivanova et al. 2006 in
order to estimate the number of eccentric DWDs in the low frequency gravitational wave band
accessible to space-based gravitational wave detectors. Taking the DWD eccentricities from the
10th to 13th Gyr of the Ivanova et al. simulations, Willems et al. generated the probability
distribution for eccentric DWDs in Galactic globular clusters shown in Figure 13
. These results
indicate that there may be a small but non-negligible population of eccentric DWDs in the
Galactic globular cluster system (see Table 5). They will have no analogs in the field because field
DWDs are expected to be circularized by common envelope evolution. Thus a detection of an
eccentric DWD by an appropriate detector is both probable and a clear indication of a dynamical
origin.
) in the LISA band (
)
for three different cluster models. Hatched histograms are for the entire eccentric DWD population
while shaded histograms arefore the DWDs with at least two harmonics individually resolvable by
LISA with an
(5 year mission, 10 kpc distance). The PDFs are normalized to unity.
From left to right: frequency, eccentricity, total mass, mass ratio and lifetime before merger. Plot
reproduced by permission from Willems et al. 2007 [487
], copyright by IOP.The consensus that emerges from the simulations is that dynamical destruction of potential CVs and dynamical formation of new CVs are equally important in globular clusters. Therefore the number of CVs per unit mass is unlikely to be much higher in globular clusters than it is in the field. Globular cluster CVs may, however, be slightly more massive than field CVs and thus have slightly higher X-ray fluxes. Overall current simulations seem to be able to re-produce the observed number of CVs in clusters reasonably well but still tend to slightly over-predict the population. However, the observational trend is towards finding more CVs in globular clusters so this problem may soon disappear.
) and the Poisson probability
(
) that at least
eccentric DWDs are present at any given time. Data taken from Willems
et al. 2007 [487
].| GC Model | ![]() |
![]() |
![]() |
![]() |
| Typical | 0.39 | 0.32 | 0.06 | 0.01 |
| 47 Tuc | 1.90 | 0.84 | 0.55 | 0.29 |
| Terzan 5 | 1.60 | 0.80 | 0.48 | 0.22 |
It seems likely that the DWD population in globular clusters is larger per unit stellar mass than that in the field however it is not clear if the enhancement is by factors of ten or only factors of a few. The disagreement between various simulations could be due to differing numerical methods or because scaling the DWD population from open to globular clusters is not straightforward. Systematic comparison of the different simulation methods will be necessary in order to resolve this unambiguously and ultimately large N-body simulations may be the only way to understand white-dwarf binaries in globular clusters in detail.
5.2.2 Binaries with neutron star primaries
Neutron star binaries were the first binaries with degenerate companions to be specifically investigated in globular clusters. LMXBs, neutron stars accreting from a companion as described in Section 3.2, have attracted particular interest since results from 1975 [256, 74] gave indications that they are over-abundant in globular clusters. These papers immediately suggested this was a result of dynamical encounters and by the end of the 1970s a debate over which type of encounter, whether tidal capture by MS stars [121], collisions with RG stars [455], exchange interactions [217] or three-body interactions [433], was already underway. Like CVs, LMXBs are not necessarily relativistic by our definition but are electromagnetically active and thus useful for calibration purposes. The ultracompact systems discussed in Section 3.2, often called UCXBs, are almost certainly double-degenerate and may consist of a neutron star accreting from a white dwarf.Neutron stars are, on average, more massive than the main sequence turn-off of old globular clusters and
also more massive than white dwarfs. As such they should both mass-segregate to cluster cores and be
preferentially exchanged into binaries during interactions. Therefore globular clusters may produce a
large number of double neutron star binaries (DNSs), the mergers of which will be excellent
sources of gravitational radiation for ground-based detectors and may also be a source of short
gamma-ray bursts [181
, 226]. However, neutron star production in globular clusters is by no
means certain. Neutron stars are rare and thus primordial DNSs are not common. Furthermore
large natal kicks can both break up primordial DNSs and remove neutron stars from globular
clusters. Also, neutron stars are only a factor of two to three times more massive than the average
cluster mass, leaving the extent of their mass segregation and their probability of exchange
unclear.
Neutron stars are low-luminosity and, if not members of an X-ray binary, are normally detected as MSPs. Their presence was long-expected in globular clusters due to the large population of LMXBs that are thought to be MSP progenitors but were not confirmed until 1987 [304]. Since all MSPs are thought to need a spin-up phase during accretion in a binary system, even single MSPs can be used as a probe of binary evolution. As discussed in Section 3.3, these are now known to be quite common in globular clusters. Of more interest for gravitational wave detection are the many binaries containing MSPs and particularly the double MSP binaries (DMSPs) that have been detected in some globular clusters.
Originally tidal captures or collisions were thought to be the main paths for producing X-ray binaries.
When the LMXB enhancement was first discovered, globular clusters were thought to have very few
primordial binaries and thus would be have few exchange interactions. Since three-body interactions tend to
produce soft binaries they were largely ignored. During the 1980s studies employing static cluster models
and encounter rate estimates based either on analytic estimates (e.g., [240, 469, 23, 472
]) or
few-body scattering experiments (e.g., [277, 278]) were able to roughly re-produce the X-ray binary
population in globular clusters using only tidal capture and collisions. They also indicated that
hardening encounters might be important in bringing dynamically formed binaries into the
mass-transferring, and thus the X-ray, regime. Verbunt and Meylan [472] showed that mass segregation
has a significant effect on the production of CVs and X-ray binaries, an early indication that
globular cluster structure needs to be treated in some detail rather than as a homogeneous static
background.
As stellar modeling improved, the central role of tidal capture began to be called into question. Several authors demonstrated that close encounters between MS or RG stars lead to mergers rather than bound pairs [407, 324, 27] and thus will not produce X-ray binaries. It was also realized that, since dynamical interactions in globular cluster cores can destroy binaries [244], a low binary fraction in old Milky Way globular clusters did not necessarily imply a low primordial binary fraction. Thus, particularly in young clusters, interactions between stars and binaries are likely to be important.
One of the earliest systematic attempts to simulate double-degenerate binaries in globular clusters was
the Rappaport et al. (1989) [403
] study of the effect of a dense stellar environment on a wide binary
containing an MSP with a low-mass white dwarf companion. The study utilized an encounter rate technique
where a large number of numerical binary-single scattering experiments were conducted in a static cluster
background with parameters chosen to represent
Cen and 47 Tuc. They found that binary-single
interactions were capable of introducing significant eccentricity into some of the binaries, enough to affect
their gravitational wave inspiral timescales. It also appeared that disruption interactions were unlikely, at
least for binaries with
days so hard double-degenerate binaries should be able to survive in
globular cluster cores.
Sigurdsson and Phinney [437, 438] conducted similar scattering experiments to those performed by Rappaport et al. [403] but with tighter binaries and a much extended mass spectrum. They discovered that exchanges were even more important than previously thought, and indeed could be the dominant type of interaction between massive stars and moderately hard binaries. A secondary effect of exchange is that when a light star is swapped for a massive one, the binary will have a larger semi-major axis for the same binding energy, which increases the cross section of the binary to undergo further interactions. They also found that three-body interactions with very hard binaries tended to produce a merger between two of the members and accretion onto the neutron star during such an event could plausibly create a MSP. Indeed Sigurdsson and Phinney argued that such interactions are sufficient to explain the entire MSP population of globular clusters. They also showed that a small number of low mass double millisecond pulsars (DMSPs) can be formed in this way.
Sigurdsson and Hernquist [435] considered the role of binary-binary interactions in forming DMSPs. They proposed a mechanism where two neutron star-main sequence binaries interacted and both main sequence stars were disrupted. The result was a DNS surrounded by an envelope that could be accreted to spin up both members to produce a DMSP. The study employed both point-mass scattering experiments and an SPH representation of the main sequence stars, when appropriate. The model appeared plausible but has not factored into later studies and would be a rather rare, if interesting, outcome of binary-binary interactions.
Davies and collaborators [95
, 93
] specifically investigated the population of LMXBs in globular cluster
in the same simulations described in Section 5.2.1. Davies and Benz (1995) [95] considered the evolution of
1000 binaries injected into various cluster cores modelled as King models with a concentration parameter
between 3 and 12 – a range that covers the concentrations of galactic globular clusters. In this study
they found that the number of LMXBs produced depends on many factors including the IMF, the specific
model of common envelope evolution, the assumptions made about stellar evolution and the exact
concentration of the cluster. Any of these parameters can affect the numbers and types of binaries by
factors of several.
Davies (1995) [93] concentrated on the blue straggler and compact binary population of 47 Tuc and
Cen. Particular interest was shown in comparing the efficiency of single-single and binary-single
encounters in producing various kinds of binaries. Here the effect of different cluster models became clear.
For the model of
Cen (massive, low concentration) blue stragglers were produced significantly more
efficiently by binary-single than by single-single interactions. By contrast in 47 Tuc (lower mass,
higher concentration) binary-single and single-single interactions were of comparable importance
for blue straggler formation. In both systems binaries containing neutron stars seemed more
likely to be formed by single-single interactions with a main sequence star than by binary-single
interactions. Like the CVs, however, such interactions tended to lead to the disruption of the main
sequence star and a “smothering” of the neutron star with the main sequence star’s envelope.
This could lead to the formation of a Thorne–Zytkow object, a red giant star which contains a
neutron star in its center [461]. The neutron star eventually accretes the matter, which could
lead to black hole production, if enough matter is accreted, or an MSP but will not lead to an
X-ray binary. A smothered system could also be the result of a binary-single interactions but
was a less common outcome. For the most optimistic set of parameters Davies predicted a
4:1 ratio of smothered to non-smothered neutron star binaries in
Cen and a 5:1 ratio in
47 Tuc.
Davies predicted that
Cen would form more X-ray binaries than in 47 Tuc since the IMF in
Cen model was skewed towards higher masses and thus produced a larger number of neutron stars. By
contrast more CVs were predicted in 47 Tuc. Both clusters were predicted to produce more
CVs than LMXBs. This was difficult to reconcile with observations at the time but actually
agrees with more recent observations. The number of predicted LMXBs was consistent with
contemporary observations of 47 Tuc and
Cen (the possibility of one or two in each at the current
epoch).
A new model for neutron star-white dwarf binaries was introduced by Rasio et al. (2000) [405
] who
proposed that short-period MSP-white dwarf binaries can be formed by exchanges with primordial binaries
followed by a common envelope phase. In this model a
main sequence star in a binary acquires
an neutron star companion through an exchange interaction and forms a new binary at a separation of
0.1 – 1.0 AU. The main sequence star undergoes Roche lobe overflow and has its envelope stripped by the
neutron star. Spin-up during the accretion phase leaves an MSP in a close orbit with a white dwarf. Rasio
et al. used Monte Carlo scattering simulations to predict the MSP-white dwarf binary population
produced by this scenario and compared it to the population of short-period MSP-white dwarf
binaries observed in 47 Tuc. The results, given in Figure 14
, show very good agreement with the
observations and confirm the importance of interactions for the compact binary population in globular
clusters.
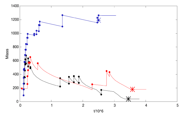
The tail end of the systems in group B of Figure 14
represents neutron star–white dwarf binaries in very
short period orbits that are undergoing a slow inspiral due to gravitational radiation. These few
binaries can be used to make an order of magnitude estimate on the population of such objects in
the galactic globular cluster system. If we consider that there are two binaries with orbital
period less than 2000 s out of
in 47 Tuc, and assume that this rate is consistent
throughout the globular cluster system as a whole, we find a total of
60 such binaries. This is a
crude estimate and may be optimistic considering the results of Ivanova et al. [247
, 246
] but
is an example of how simulations can be extended to produce gravitational wave detection
estimates.
Ivanova et al. (2005) [248] Re-introduced the plausibility of a collision between a red giant and a neutron star forming an eccentric neutron star-white dwarf UCXB. The result was based on the hydrodynamical simulations of Lombardi et al. [295]. These simulations showed that while a common envelope phase is likely after such a collision, much of the envelope is ejected to infinity and an eccentric UCXB is a common outcome of the interaction. Ivanova et al. used the results from 40 SPH simulations and simple, analytic cluster modeling to estimate that it is possible for all UCXBs in globular clusters to be formed by this mechanism.
Ivanova et al. (2008) [246
] extended the results of the CV study described in Section 5.2.1 to cover
neutron star binaries as well. The dynamical situation for neutron star binaries was found to be slightly
different than for CVs. About half of the neutron star binaries in the core formed as the result of an
exchange interaction with only a few percent more formed by either tidal capture or collision. The rest of
the binaries were primordial. Very few neutron star binaries became X-ray binaries and Ivanova et
al. estimated there is only a
3% chance that any given neutron star will ever be in an LMXB.
Furthermore, most primordial binaries that became X-ray binaries did so quite early in the life of the cluster
and were no longer luminous in the current epoch. Thus Ivanova et al. predicted that X-ray
binaries observed in Galactic globular clusters today are likely to be products of exchange, tidal
capture, or collisions. Although exchange interactions produced most of the dynamically formed
neutron star binaries, X-ray binaries in their simulations were produced in equal numbers by all
three channels. This was due to each channel having a different probability of producing a
mass-transferring system. Finally Ivanova et al. predicted
7.5 UCXBs in the entire Galactic
globular cluster system and
180 qLMXB systems. They also made specific predictions
that certain clusters should have at least one LMXB and all of these predictions have been
met.
In addition to X-ray binaries, Ivanova et al. 2008 [246] also considered the population of MSPs and
double neutron star binaries. Overall they had difficulty reconciling the number of X-ray binaries and MSPs
in their simulations with the observed ratios. If they assumed that all mass-gaining events lead to MSPs
then the number produced was too high unless only
10% of MSPs in clusters have been detected.
They speculated that either not all accretion leads to spin up or that their model for mass
segregation did not work properly for these systems and more should have sunk to the core and
be disrupted. This posed a problem, however, because all of the channels that lead to MSP
production were necessary in order to produce the correct number of LMXBs. As a solution they
proposed that physical collisions or accretion onto post-accretion-included collapse systems
produces MSPs with strong magnetic fields. Such MSPs are short-lived and would not appear as
MSPs at current GC ages. They also proposed that mass transfer in NS-WD LMXBs does
not lead to the formation of binary MSPs. By using these modifications and adjusting their
assumptions about spin-up during various kinds of accretion they were able to bring the number of
MSPs down to a level that is consistent with observations of 47 Tuc and Terzan 5. They also
noted that the fraction of single MSPs to MSPs in binaries tends to increase with increasing
cluster density. This implies that destructive interactions dominate for MSP binaries at high
density.
They found that the production of double neutron star binaries was very inefficient. There were only
three primordial DNSs in the
of stars that make up their entire simulation set while only 14
double neutron stars were formed by dynamical interactions. Given their chosen IMF and cluster ages, this
implies that it takes
500 single NSs to produce one merging double neutron star binary in 11 Gyrs.
These results were very density dependent and the vast majority of the DNSs formed in the highest density
simulations. They estimated that merging DNSs in globular clusters could provide at most 10 – 30% of short
gamma ray bursts but noted that this agrees fairly well with the predictions of Grindlay et
al. (2006) [181].
This result also agrees with results of Downing et al. (2010) [111
] who used a similar-sized Monte Carlo
dataset, primarily to study black hole-black hole binaries, and found no DNSs in any of their simulations.
That DNSs are not produced in similar numbers to X-ray binaries in globular clusters may be a
combination of the lower number of potential progenitors, kicks for both progenitors, and the likelihood of
merging or producing a WD during interactions.
Ivanova et al. also reported a significant number of LISA sources in their simulations. They predicted that there should be an average of 10 LISA sources per globular cluster at any given instant and that on average 180 LISA sources are produced per globular cluster per Gyr. Scaling this to the Milky Way, they found that there may be up to 1500 LISA binaries, both DWD and white dwarf-neutron star, in the Galactic globular cluster system at the current time. They cautioned, however, that they may have overestimated the white dwarf-neutron star binary population since it was not fully consistent with UCXB observations.
Banerjee and Ghosh [29, 30
] employed a novel method to investigate the compact binary population of
globular clusters. They used the collisional Boltzmann equation as given by Spitzer [443] to calculate the
evolution of the number distribution of binaries in a uniform, non-evolving background of stars. They did
not employ the Fokker–Planck approximation but rather considered mean encounter rates with a randomly
fluctuating component. This is called a Wiener process and is a mathematical description of Brownian
motion. The Wiener process means that the encounter rates, normally ordinary differential equations in the
Boltzmann equation, become stochastic differential equations and must be treated with a mathematical tool
known as Itō calculus. Both, Wiener processes and Itō calculus are described in Banerjee and Ghosh
(2008) [30
].
Banerjee and Ghosh specifically considered a bimodal population of
main sequence stars
interacting with
neutron stars. They consider binary formation by tidal capture and exchange,
destruction by 3-body disruption of the binary or by exchange of the compact component for a main
sequence star, and hardening by magnetic breaking and gravitational radiation. They were able to
re-produce the build-up of short-period binaries found by other authors but, more interestingly they
could compare the mean rates predicted by the Boltzmann equation to the random variations
introduced by the stochasticity of the Wiener process. Thus they were able to determine if it
is possible to predict the number of X-ray sources expected in a given globular cluster or if
stochastic effects will dominate. Figure 15
shows both the mean number of X-ray binaries and
the stochastic fluctuation expected for various cluster parameters as well as observed numbers
from several Galactic globular clusters. Although the number of X-ray binaries in the models
and observations follow the same trend, the stochastic fluctuations are large and indicate it is
probably impossible to predict exact numbers of compact binaries in any given globular cluster.
Thus, although the method of Banerjee and Gosh is in some ways less detailed than that of
Ivanova et al., it is still valuable since it constrains the effects of stochasticity in a quantitative
way.
,
,
is the average stellar density,
is the core radius and
the core velocity dispersion.
describes the two-body stellar encounter rate and
describes the
rate of encounters between a single binary with the stellar background. The squares represent the
location of various Galactic globular clusters in the
plane and the number in parentheses is
the number of X-ray binaries observed in the cluster. Plot reproduced by permission from Banerjee
and Ghosh [30], copyright by IOP. Recently Bagchi and Ray [21, 22] used scattering experiments to re-investigate the eccentricities of
MSP binaries in light of improved observations. They noted that observationally there are three,
statistically distinct, eccentricity groupings in MSP binaries, those with
, those with
and those with
. They performed scattering experiments, utilizing the
STARLAB package, to attempt to determine the origin of the different groupings. They found that most of
the higher eccentricity binaries could be explained by exchanges or mergers during binary-single or
binary-binary interactions. The intermediate eccentricities could be explained by fly-by encounters while the
lowest eccentricities were binaries that had been circularized without experiencing fly-bys. They also found
one binary that they could only explain by invoking resonant interactions within a hierarchical
triple [276
].
Of a more speculative nature was the work of Trenti et al. (2008) [464] considering the number triple
systems that might contain at least one pulsar. They studied triple formation using direct N-body
simulations with between 512 and 19 661 bodies, both in equal mass systems and systems with a mass
function, for various initial binary fractions. They found that triple systems were about two orders of
magnitude less common than binary systems within globular cluster cores but, given the number of MSP
binaries currently known in globular clusters, this implies that a triple containing an MSP should be
detected soon. Indeed, the LMXB 4U 1820–30 is an excellent candidate for such a system.
4U 1820–30 is a WD-NS binary in the globular cluster NGC 6624 with a period of
685 seconds
[447] and a factor-of-two luminosity variation with a period of
171 days [394, 73]. It has
been shown that this system is probably a hierarchical triple [175] where the third body is
in a Kosai resonance with the inner binary [491, 395
]. The most recent work of Prodan and
Murray [395] gives a detailed investigation of the nature of the Kosai resonance in 4U 1820-30
and a plausible dynamical history. However these authors state that a better understanding of
both the long-term evolution of compact X-ray binaries and the potential of NGC 6624 are
necessary to fully understand this system. 4U 1820–30 promises to be a very important system for
understanding some of the more complicated dynamics that can affect compact binaries in globular
clusters.
There are several overall conclusions that can be drawn about the population of neutron star binaries in globular clusters. Dynamical interactions can certainly enhance the number of X-ray binaries but the current consensus is that the enhancement will by factors of a few, not factors of hundreds. Recent simulations show that detailed descriptions of dynamics, binary stellar evolution, and stellar collisions are all necessary in order for the results to be reliable. The same interactions that produce X-ray binaries are also effective at producing MSPs, although many of the resulting binaries will be subsequently disrupted and the MSPs will continue their lives as single objects. It also seems that neutron star-white dwarf binaries may be fairly common in globular clusters. By contrast detailed simulations show that DNS binaries are not common in globular clusters since few exist primordially and they are not produced efficiently by stellar dynamics. The individual results of these studies are highly dependent on the detailed treatment of various phases of binary stellar evolution as well as the kick distribution. It is worth noting that many authors, using a wide variety of approximations, have successfully predicted the number of X-ray binaries in globular clusters. This indicates that it is actually reasonably easy for simulations to re-produce the X-ray binary population and could be taken as a vindication of the dynamical models. However it also indicates that X-ray binaries are a rather generic outcome of globular cluster dynamics. Therefore successfully re-producing the observed number of X-ray binaries in globular clusters may not be a very helpful diagnostic when trying to constrain our assumptions about globular cluster dynamics.
5.2.3 Binaries with black hole primaries
Black holes are non-luminous and can only be detected in the electromagnetic spectrum if they are accreting matter, normally from a binary companion. Mergers of black holes and neutron stars may be detectable in both gravitational waves and as short gamma-ray bursts [182]. Black hole-black hole binaries (DBHs) can only be detected in gravitational radiation.Black holes are the most massive compact stellar remnants, up to
[141
, 43], and can, on
average, be several times more massive than the average mass of stars in even a fairly young globular
cluster. Thus black holes are strongly affected by mass segregation, may form Spitzer-unstable subsystems
in the dense core of the cluster and will be preferentially exchanged into binaries during interactions. As
such, the black hole binary population in globular clusters will be particularly strongly affected by
dynamics.
DBHs are of great interest for gravitational wave detection since they are quite massive compared to neutron star mergers and may be detectable by the next generation of ground based detectors at Gigaparsec distances. Strong dynamical interactions should produce many hard DBHs in globular clusters. It is not clear, however, that globular clusters themselves will host a large number of DBH mergers because the binaries could be ejected from the cluster cores before they reach the gravitational wave regime. Kulkarni et al. (1993) [281] and Sigurdsson and Hernquist (1993) [436] presented the first detailed studies of black hole-black hole binaries in globular clusters. They used purely analytic estimates to show that black holes would indeed mass segregate and form a Spitzer unstable subsystem in the cluster core. In this subsystem black holes interact with each other to form binary and triple systems. Interactions between these systems and the remaining black holes remove both from the cluster very efficiently and Sigurdsson and Hernquist in particular predicted that there should be only zero to four black holes left in the cores of old galactic globular clusters, with perhaps a few more in the cluster halos. Remarkably, this basic picture of mass segregation, dynamical interaction, binary formation and ejection has not changed much since these pioneering publications.
Studies of black hole binaries remained dormant until the direct N-body simulations of Portegies Zwart
and McMillan (2000) [388
]. Using small simulations of between 2048 and 4096 particles with a bimodal
mass distribution, 0.5 – 1% of bodies ten times more massive than the rest, they essentially confirmed the
results of Kulkarni et al. and Sigurdsson and Hernquist. They found that the black holes mass segregate
rapidly, form binaries through three-body interactions, and are then ejected from the clusters. Overall they
found only
8% of black holes were retained by their parent clusters while
61% were ejected as
singles and
31% were ejected as binaries. However, many of the ejected, dynamically-formed DBHs
were tight enough to merge in the galactic field outside the clusters within a Hubble time. Indeed,
extrapolating their results to globular clusters they estimated up to one advanced LIGO detection
of a dynamically-formed DBH binary merger per day. Thus Portegies Zwart and McMillan
concluded that globular cluster would be an important source of DBH binaries. It must be
noted, however, that these simulations did not include stellar evolution or natal kicks for black
holes.
Further studies of the behaviour of black holes in globular clusters were prompted by the suggestion of
Miller and Hamilton [334
] that IMBHs of up to several hundred solar masses could be formed by repeated
mergers of black holes in dense stellar environments (see Section 5.3 for further information). Gültekin et
al. (2004) [186
] performed repeated three-body scattering experiments between single black holes and DBH
binaries of various masses in order to investigate such growth. They used the static cluster background
density to calculate an encounter timescale between interactions and, if the quadrapole gravitational wave
radiation timescale was less than the encounter timescale, a merger occurred. They confirmed
that the DBHs are ejected before an IMBH is formed but that many of the ejected binaries
pass thorough the LISA band and then merge in the VIRGO/LIGO band within a Hubble
time. They also found that many of the binaries retain significant eccentricity in the LISA
band.
O’Leary et al. (2006) [360
] considered the same problem using a slightly different approximation. They
assumed all black holes were completely mass-segregated and formed a Spitzer-unstable subsystem
interacting only with itself. The they followed the evolution of this subsystem, embedded in a globular
cluster potential, for a range of initial conditions using a Monte Carlo selection of encounters
and numerical integration of binary-single and binary-binary interactions. In some of their
simulations they included a prescription for gravitational wave recoil after a DBH merger (see
[345] for further discussion of this effect). O’Leary et al. also found little evidence of IMBH
growth but their simulations did form a large number of DBH binaries, many of which merged
within a Hubble time. They quantified the detection rate for advanced LIGO, using simplified
cosmological assumptions and assuming optimal orientation, and predicted 10s of black hole
merger detections per year (the exact number depending on the initial conditions of the cluster
model). They found that between 50% and 70% of these mergers will take place between DBHs
that were ejected from the clusters. Again, the clusters produce many DBHs but do not retain
them.
Both Gültekin et al. and O’Leary et al. included only self-interacting black hole systems in their simulations. By contrast, Sadowski et al. 2008 [415] modeled entire globular clusters using the same Monte Carlo method as Ivanova et al. [247] and assumed that the black holes remained in thermal equilibrium with the rest of the cluster. This is the opposite dynamical assumption to that made by O’Leary et al. since it assumes that the black holes are minimally mass segregated. It maximizes the number of interactions between black holes and other cluster stars while minimizing the number of interactions between black holes and other black holes. The main result of this is that there are fewer DBHs formed but those that do form are far less likely to experience a further encounter with another black hole. Interactions with lower-mass cluster members are less energetic and thus less likely to disrupt or eject DBHs. In practice the lower destruction and ejection rate wins out and Sadowski et al. predicted a very large number of DBH binaries in globular clusters. Indeed they estimated an advanced LIGO detection rate of 25 – 3000 per year, 90% of which will occur within the clusters. When compared with the results of O’Leary et al. this proves that the treatment of global star cluster dynamics has a strong effect on the DBH population.
Two recent sets of studies have tried to address the problem of more accurate global dynamics. The
Monte Carlo simulations of Downing et al. 2010 and 2011 [111
, 112
] and the direct N-body simulations of
Banerjee et al. 2010 [28
]. Downing et al. used the Monte Carlo code of Giersz [153, 155] to perform 160
fully self-consistent simulations of globular clusters with 500,000 particles, a realistic mass function, stellar
evolution, 10 – 50% primordial binaries, and various combinations of initial concentration and
metallicity. The results of the simulations tend to support the approximation of O’Leary et
al., namely the black holes mass segregate very quickly and form a dense system in the core
of the cluster. Downing et al. confirmed that many DBH binaries were formed, particularly
by three-body interactions, but many of these binaries were either destroyed in subsequent
interactions or were ejected from the clusters. In dense clusters DBH production was strongly
time-dependent. Many DBHs were formed early but this number dropped substantially after a few
Gyrs as the clusters were depleted of black holes. By contrast the clusters with a low initial
concentration did not suffer as strong a depletion in their black hole population and produced DBHs
slowly but constantly throughout their lives. The number of black hole binaries produced was
highly stochastic with large simulation-to-simulation variations, even between models with the
same initial conditions, as shown in Table 6. Depending on the initial conditions Downing et
al. predicted between 1 – 100 DBH merger detections per year for advanced LIGO with an
average of
15 per year. This is consistent with, although slightly higher than, O’Leary et
al. The detection rate also showed simulation-to-simulation variation and was similar for some
simulations with different initial conditions. This implies that the DBH merger detection rate
alone will probably not carry much astrophysical information. Downing et al. also predicted
the possibility of eccentric DBH binaries in the low-frequency gravitational wave radiation
band.
, and also after 1
. The first column gives the initial conditions. 10 or 50 in the first place indicates 10% or 50%
primordial binaries. sol or low indicates a metallicity of z = 0.02 or z = 0.001. The number in the
third place indicates
= 21, 37, 75 or 180. Each column is averaged over ten independent
realizations and includes the
uncertainty. A dash in a column indicates that the cluster did not
reach that number of half-mass relaxation times within one Hubble time. Reproduced by permission
from Downing et al. 2010 [111
]| Simulation | ![]() |
![]() |
![]() |
![]() |
| 10sol21 | 1 ± 1 | – | – | 1 ± 1 |
| 10sol37 | 1 ± 1 | 14 ± 11 | – | 14 ± 11 |
| 10sol75 | 0 ± 0 | 8 ± 6 | 49 ± 19 | 52 ± 19 |
| 10sol180 | 0 ± 0 | 12 ± 6 | 54 ± 21 | 123 ± 27 |
| 50sol21 | 1 ± 1 | – | – | 3 ± 2 |
| 50sol37 | 3 ± 2 | 36 ± 10 | – | 50 ± 11 |
| 50sol75 | 1 ± 1 | 26 ± 8 | 115 ± 24 | 147 ± 28 |
| 50sol180 | 0 ± 1 | 11 ± 5 | 111 ± 23 | 354 ± 33 |
| 10low21 | 22 ± 10 | – | – | 27 ± 10 |
| 10low37 | 23 ± 4 | 44 ± 6 | – | 44 ± 6 |
| 10low75 | 18 ± 10 | 32 ± 13 | 54 ± 6 | 54 ± 16 |
| 10low180 | 26 ± 8 | 51 ± 8 | 79 ± 20 | 112 ± 24 |
| 50low21 | 104 ± 16 | – | – | 127 ± 16 |
| 50low37 | 93 ± 22 | 175 ± 26 | – | 184 ± 29 |
| 50low75 | 64 ± 10 | 155 ± 22 | 173 ± 22 | 202 ± 38 |
| 50low180 | 103 ± 19 | 205 ± 35 | 294 ± 50 | 453 ± 109 |
Banerjee et al. used NBODY6 to perform direct N-body simulations of young and intermediate age
massive clusters with between 5000 and 100 000 stars, including both stellar evolution and a realistic IMF.
The also performed a series of 3000 to 4000 body simulations surrounded by a reflective boundary to model
the core of a globular cluster. They found that the black holes mass-segregated quickly, on
timescales of 50 – 100 Myr, almost independently of the mass of the cluster. Once mass-segregated
the black holes interacted strongly, making many DBHs during three-body encounters. Like
most previous authors, Banerjee et al. found that the black holes and black hole binaries are
efficiently disrupted or ejected and that their simulated clusters were depleted of black holes on a
4.5 Gyr timescale. Thus they predicted that current galactic globular clusters will not contain
black holes. They also estimated that intermediate age massive clusters will produce
31
black hole binary merger detections per year for advanced LIGO. This is of the same order
as found by Downing et al. and slightly higher than the rate found by O’Leary et al. while
it is about an order of magnitude lower than that found in the previous N-body simulations
of Portegies Zwart and McMillan. They cautioned, however, that this rate is not for the old
globular clusters that were the focus of the previous studies and thus care must be taken in the
comparison.
There have also been efforts made to include Post-Newtonian (PN) dynamics into direct N-body simulations, both for stellar-mass black holes [284] and for black holes around a central massive object [5]. The algorithm has been tested successfully and used to discover significant new dynamical behaviour around central massive objects, particularly in the context of extreme mass ratio inspirals (e.g., the “butterfly effect” [13]). However, in simulations of globular clusters, where typical velocities are low and the likelihood of relativistic encounters is small (see, e.g., [14]), it is not clear that the inclusion of PN terms has a significant effect on the DBH population of a cluster [6]. For stellar-mass binaries, and particularly for estimating relativistic merger rates, a Newtonian treatment of the cluster dynamics with relativistic effects added in post-processing may be sufficient.
In 2010, Ivanova et al. [245] considered the possibility of black hole-white dwarf X-ray binaries as
UCXBs in globular clusters. This study employed scattering experiments and a simplified treatment of
cluster dynamics. Ivanova et al. determined that stellar collisions, exchange interactions and three-body
binary formation can all produce black hole-white dwarf X-ray binaries, however in most cases the binary
will be too wide to become an X-ray source within a Hubble time. Therefore most black hole-white dwarf
X-ray binaries must have experienced dynamical hardening, either through fly-by encounters or as
part of a hierarchical triple where the inner black hole-white dwarf binary has its separation
reduced by the Kozai mechanism [276]. They found that each formation mechanism, coupled with
dynamical hardening, could explain the observed number of ULXBs in globular clusters but that
all required
1% of black holes remain in the cluster upon formation. This places limits
on the possible natal kick distribution of black holes. Interestingly, recent observations of the
black hole X-ray binary XMMU 122939.7+075333 in the globular cluster RZ 2109 (itself in
the Virgo cluster galaxy NGC 4472) shows variability that may be the result of the Kozai
mechanism [309]. This strengthens the case for black hole X-ray binary hardening in hierarchecal
triples.
Unlike some of the other species mentioned, the basic behaviour of black hole-black hole binaries in
globular clusters is well-understood. The black holes mass segregate, interact, form binaries and are swiftly
ejected. The focus of future investigations will be on event rates and details of mass distributions. It seems
certain, however, that globular clusters will be a major source of DBH binary mergers. When compared
with the results for field DBH binaries of Belczynski et al. 2007 [48] all of the studies cited
indicate that dynamically formed binaries will dominate the DBH binary merger detection rate for
advanced LIGO by factors of several. We note that the most recent estimates of field DBH rates
for advanced LIGO include a range of rates from pessimistic to highly optimistic that spans
over three orders of magnitude [7
], and so substantial uncertainty remains. Some more recent
results [44] indicate that the number of field black hole binaries may be larger than previously
estimated but dynamically formed binaries are still expected to be a major source of detections.
Including younger clusters before they have been depleted in black holes may be important for
estimating event rates and will probably only cause them to increase. Should the next generation of
ground-based detectors perform according to expectations, detection of a DBH binary inspiral is almost
certain.
5.3 Intermediate-mass black holes
Intermediate-mass black holes (IMBHs) are a hypothetical class of black holes with masses of
. Ultimately IMBH is a catch-all term for BHs in the
mass range between the stellar mass BHs (
) that are known to exist from stellar
evolution and and the super-massive BHs (
) that are known to exist at the centers of
galaxies. It is as yet unclear whether such objects exist and, if they do, whether they exist
as binaries in globular clusters. If they do exist, a binary of two IMBHs or an IMBH and a
stellar mass BH in a globular cluster could be a very interesting source of gravitational wave
radiation.
There are several methods that can be used to detect IMBHs. The most commonly used are X-ray or radio accretion luminosity, burst emission from tidal disruption of stars and the structure and kinematics of the inner regions of globular clusters.
If IMBHs exist as close binaries with any companion other than a neutron star or black hole they will
accrete matter and the accretion will produce X-ray emission and can be detected, as is the case for
stellar-mass black holes in binaries. The mass of the IMBH can be estimated from the total X-ray
luminosity. There are several extra-galactic ultra-luminous X-ray sources (ULXs) where the
luminosities are consistent with an IMBH and that are provisionally associated with globular
clusters [294, 122, 396, 151, 272, 274
, 380
]. While suggestive these observations are not conclusive since
X-ray observations often lack sufficient resolution to definitively associate them with the proposed host
clusters. Some are also consistent with stellar-mass X-ray binaries [380, 274
] or have been resolved into
multiple point sources which are then more consistent with stellar-mass X-ray binaries [359]. Another
possibility for detection would be radio emission from Bondi accretion of ambient material from the
ISM [305]. Several studies used this method to place upper limits on the possible mass of IMBHs in
Galactic globular clusters [98, 465, 32, 300] but there are no definitive detections. Indeed
many studies are consistent with there being no IMBHs in the Galactic globular clusters (e.g.,
[311, 312].
Another possible way of detecting an IMBH is through tidal disruption of a passing star. Simulations have shown that if a globular cluster contains an IMBH then the IMBH is quite likely tidally capture stars that pass close to it [36]. If these stars are tidally disrupted they will produce a short soft X-ray flare followed by a several-hundred year X-ray afterglow from the accretion disk [398] that may be detectable. There is some evidence for the disruption of a white dwarf in two extra-galactic globular clusters [243, 313]. If an IMBH is in a binary with another cluster star it may also be possible for it to exchange it for a millisecond pulsar and form an IMBH-millisecond pulsar binary. Although the lifetime of such a binary would be short due to gravitational wave radiation, it might be detectable with future radio observations [101]. The merger of such a system might also be an interesting gravitational wave source.
Perhaps the strongest evidence for IMBHs in globular clusters comes from an analysis of the structure
and kinematics of their core regions. A central massive object, such as an IMBH, affects both the density
profile and velocities of the stars surrounding it. If a globular cluster contains an IMBH it will sink to the
center due to dynamical friction and will form binaries with the compact objects in the center, particularly
the black holes. This will be a source of dynamical heating for the cluster [38, 463, 275] and will cause
the core of the cluster to expand. This means that clusters with an IMBH will have relatively
large cores with constant density and without a significant peak in surface brightness at the
center [39, 356]. This may lead to a rather large ratio of
in clusters with IMBHs and this could
be used to narrow the search for potential IMBH hosts (although various other processes in
globular clusters can mimic this effect [228]). The activity of the IMBH in the core of a globular
cluster will also increase both the velocity dispersion and the mass-to-light ratio in the cluster
core. Structural and kinematic data suggests possible IMBHs in the Galactic globular clusters
Cen [357, 358
, 467
, 250], M15 [148, 149, 466], NGC 6388 [285, 303], 47 Tuc [322] and
the extra-galactic globular cluster G1 [40, 146]. In all cases the data are merely consistent
with an IMBH being the best-fitting model given the dynamical assumptions and give only
upper limits on possible IMBH masses. Of all the candidates G1 has perhaps the strongest
dynamical evidence and is supported by X-ray observations [274].
Cen is also a reasonably
good candidate, although the current upper mass limit on the IMBH is disputed by a factor of
3 – 4 [358, 467]. By contrast the kinematic signal in 47 Tuc is weaker and the signal in M15 is
disputed [314].
All of these promising but uncertain detections beg the question as to whether we should expect IMBHs
in globular clusters to begin with. There are several mechanisms proposed to form IMBHs in globular
clusters, the most straightforward of which is the collapse of zero-metallicity (Pop III) stars. Pop III stars
may have characteristic masses of
[9] and can collapse in the same manner as today’s stars
but leave more massive remnants [141]. Such a collapse could produce BHs of up to a few
hundred solar masses. Another possibility is the direct collapse of a
cloud of gas
to a BH through post-Newtonian instabilities [41]. Both of these mechanisms are proposed
for forming the seed black holes for SMBHs in young dark matter halos in the early universe.
However globular clusters are not thought to be a result of cosmological structure formation as
they form later and not necessarily in the same location as Pop III stars. Therefore there is no
particular reason to expect that either of these mechanisms will lead to IMBHs in globular
clusters.
IMBH as a function
of seed mass. The four numbered curves are made assuming different cluster escape velocities. The
dotted line is 103 black holes, the assumed population for a young cluster. As can be seen, a very
large seed mass is necessary before IMBH formation by merging black holes becomes a possibility.
Image reproduced by permission from Gültekin et al. [186
], copyright by IOP. There are, however, ways of forming IMBHs that occur only in globular clusters. These include repeated
collisions and mergers of stellar mass black holes and the formation of very massive stars (VMSs) through
the runaway mergers of young massive stars. The collision and merger of black holes model,
first proposed by Miller and Hamilton [334] is simple, DBH binaries form by the processes
described in Section 5.2.3 and then merge due to gravitational wave inspiral. The resulting merger
product becomes more massive, is more likely to be exchanged into BH binaries and by repeated
mergers grows into and IMBH. This model originally seemed promising however, as discussed in
Section 5.2.3, the three-body numerical scattering experiments of Gültekin et al. (2004) [186]
showed that it was not possible to create a BH with a mass greater than
for any
reasonable seed mass. Either the proto-IMBH–BH binary was ejected from the cluster or the core
depleted of BHs due to scattering interactions before this point. Their final mass limits for
different seed masses are illustrated in Figure 16
. The results of O’Leary et al. (2006) [360]
tend to confirm this result, finding similar (although slightly higher) limiting masses in their
simulations where merger products do not receive gravitational wave recoils and almost no
growth at all when recoils were included. It should be noted that O’Leary et al. assume total
mass segregation and use fairly massive black holes. This means that their interactions will be
frequent and strong and thus the ejection rate maximal. However, many simulations using more
realistic models of cluster dynamics have now confirmed that DBH binaries efficiently eject
each other from globular clusters [388, 111, 112, 28] and it is unlikely many would remain
long enough to merge and form a seed IMBH before they are ejected during binary-binary
interactions.
A more promising path for the formation of IMBHs is the merger of young massive stars in globular
clusters while the clusters themselves are still young. In this model, first suggested in the context of
IMBHs by Portegies Zwart and McMillan (2002) [389
], young star clusters with short relaxation
timescales (
25 Myr) can experience mass-segregation enhanced core collapse on timescales
shorter than the lifetimes of massive stars (
5 Myr for stars of
). Such stars have
large radii and the combination of mass-segregation and core collapse can provide a region of
sufficiently high stellar density for collisions between them to become likely. If sufficiently high
central densities are reached the product of one collision can rapidly experience another collision
in a runaway process, resulting in the production of a VMS. Several studies suggest that a
star of up to several times
can be formed by runaway collisions in young, dense star
clusters [389, 385
, 189, 139, 138
, 173] for a variety of plausible initial conditions. For massive,
dense clusters an increase in central potential by gas accretion onto the core could enhance this
effect [75, 341
, 37
]. Collisions during binary interactions may also play a role and there is a
suggestion that they could lead to the formation of a pair of VMSs – a possible path to an IMBH
binary [188].
], copyright by Springer. The runaway collision scenario is more promising that the BH merging scenario for a variety of reasons.
Young massive stars are much larger than BHs, making direct collisions between them more common. The
fact that they are not compact objects means that tides can be raised during interactions which leads to
easier capture and less chance of scattering. Finally, the relativistic recoils expected after the merger of
two BHs will not occur in the merger of two massive stars and the merger product is more
likely to remain in the cluster. However, there are some problems with the runaway merger
scenario. The first is the short relaxation times and high stellar densities necessary to achieve a
runaway merger. There seem to be no star-forming regions or young open cluster in the Milky
Way with a sufficiently high concentration to produce a runaway merger [19, 37, 341]. The
formation conditions for globular clusters are not know and it is certainly possible that they form at
much higher densities. However, if they form from the hierarchical merging of many sub-clusters
they may not reach a sufficient central density for runaway collapse before the massive stars
have evolved away from the main sequence. It is also possible that there is significant mass-loss
during the collisions and mergers (up to 25% [143]). Such mass-loss could slow the growth of the
merger product. Furthermore this mass may be lost asymmetrically giving the merger product a
velocity kick, removing it from the core of the cluster, further hindering its growth. Another
problem is the evolution of the merger product itself. Such a massive object may be highly
unstable, will have a short lifetime and may suffer significant mass-loss due to stellar winds. The
relationship between the mass-loss and the collision timescale is key because if mass is lost to stellar
evolution faster than it can be replaced by collisions then the merger product cannot grow.
There are both studies that predict that the merger timescale is shorter than the mass-loss
timescale [138
, 456] and studies that predict that the mass-loss timescale is shorter than the collision
timescale [165, 468], at least for clusters of solar metallicity. Some of the different possible
outcomes are illustrated in Figure 17
. A high merger rate can also cause problems if further
collisions occur before the merger product has regained thermal equilibrium. The outcome of
such a merger and its effect on the evolution of the growing massive star is difficult to predict
but might lead to the disruption of the VMS. Even the equilibrium evolution of such a star
is poorly understood and it is not clear if the remnant of such evolution will actually be an
IMBH [138].
Finally, it is not clear that, if formed, an IMBH binary will remain in a globular cluster for
very long. Binary-binary scattering with DBH binaries could remove a low-mass IMBH–BH
binary from the cluster in a similar way to a standard DBH binary while the gravitational
wave recoil from the merger of a
IMBH with a
BH has a greater than 30%
probability of removing the merer product from the cluster [223]. Overall IMBHs – and by
extension IMBHs in binaries – remain an intriguing but speculative component of globular
clusters.


![[ ∫ ] 2 ∑ 3 ∇ ϕ = 4πG mi fmi(⃗x,⃗v,t)d ⃗v . (42 ) i](article315x.gif)
![∂fm- ∂fm- ∂t + ⃗v ⋅ ∇fm − ∇ ϕ ⋅ ∂⃗v = Γ [f]. (43 )](article320x.gif)
![6 6 2 Γ [f ] = − ∑ -∂--[f(w⃗)⟨Δw ⟩] + 1-∑ ---∂----[f(⃗w )⟨Δw Δw ⟩], (44 ) ∂wi i 2 ∂wi ∂wj i j i=1 i,j=1](article324x.gif)
[
]
[
/pc]
[pc]
[pc]
[Gyr]
Cen

















