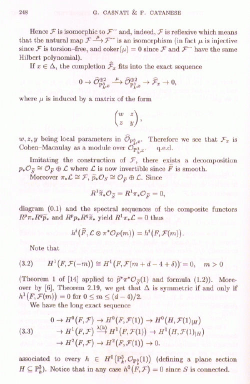
Index Previous Page Next Page 248