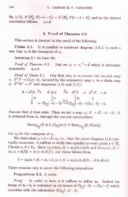
Index Previous Page Next Page 244