Biagio Ricceri
Abstract:
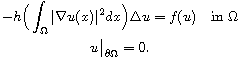
In this note, we study the problem

As an application of a general multiplicity result, we establish the
existence of at least three solutions, two of which are global minimizers
of the related energy functional. The only condition assumed on f
is that it be subcritical and superlinear;
no condition on the behaviour of f at 0 is required.
Published September 15, 2018.
Math Subject Classifications: 35J20, 35J61, 49K40, 90C26.
Key Words: Kirchhoff-type problems; multiplicity of global minimizers;
variational methods.
Show me the PDF file (206 K), TEX and other files for this article.
| Biagio Ricceri Department of Mathematics University of Catania Viale A. Doria, 95125 Catania, Italy email: ricceri@dmi.unict.it |
Return to the table of contents
for this conference.
Return to the EJDE web page