Two nonlinear days in Urbino 2017. Electron. J. Diff. Eqns., Conference 25 (2018), pp. 39-53.

Ground states of some coupled nonlocal fractional dispersive PDEs

Eduardo Colorado

Abstract:
We show the existence of ground state solutions to the following stationary system coming from some coupled fractional dispersive equations such as: nonlinear fractional Schrodinger (NLFS) equations (for dimension n=1,2,3) or NLFS and fractional Korteweg-de Vries equations (for n=1),
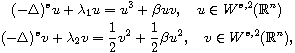
$$\displaylines{
 (-\Delta)^{s} u+ \lambda_1 u =  u^{3}+\beta uv,\quad 
  u\in  W^{s,2}(\mathbb{R}^n)\cr
 (-\Delta)^{s} v+ \lambda_2 v =  \frac 12 v^{2}+\frac 12 \beta u^2,\quad 
 v\in  W^{s,2}(\mathbb{R}^n),
 }$$
where $\lambda_j>0$, j=1,2, $\beta\in \mathbb{R}$, n=1,2,3, and n/4 < s < 1. Precisely, we prove the existence of a positive radially symmetric ground state for any $\beta>0$.

Published September 15, 2018.
Math Subject Classifications: 49J40, 35Q55, 35Q53, 35B38, 35J50.
Key Words: Nonlinear Fractional Schrodinger equation; variational method; fractional Korteweg-de Vries equation; critical point theory; ground state

Show me the PDF file (305 K), TEX and other files for this article.

Eduardo Colorado
Departamento de Matemáticas
Universidad Carlos III de Madrid
Avda. Universidad 30, 28911 Leganés
Madrid, Spain
email: eduardo.colorado@uc3m.es, eduardo.colorado@icmat.es

Return to the table of contents for this conference.
Return to the EJDE web page